题目内容
有一导热气缸,缸内有一定质量的密封活塞,气缸内密封一部分稀薄气体,如图气缸水平放置时,活塞距离气缸底部的距离为 L,现将气缸竖立起来,活塞缓慢下降,稳定后,活塞距离气缸底部的距离为(1)求活塞的质量;
(2)当气缸竖起,活塞缓慢下降过程中,判断气缸内气体是吸热还是放热,并简述原因.
【答案】分析:(1)被封闭气体做等温变化,求出气缸平放和竖直放置时气体压强,根据等温变化列方程即可求解.
(2)判断出该过程中气体内能的变化以及气体做功情况,根据热力学第一定律即可正确求解.
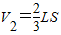
解答:解:(1)气缸平放时,被封闭气体压强和体积分别为:P1=Pa,V1=LS ①
气缸竖直放置时,压强和体积为:
,
②
由玻意耳定律:P1V1=P2V2 ③
联立①②③解得:
.
故活塞的质量为:
.
(2)气体等温变化,内能不变,活塞下降过程对气体做功,根据热力学第一定律可知气体放热.
故气体放热,原因为:内能不变,活塞下降过程对气体做功,根据热力学第一定律可知气体放热.
点评:本题考查了气态方程和热力学第一定律的应用,比较简单,注意正确选取状态并求出状态参量.
(2)判断出该过程中气体内能的变化以及气体做功情况,根据热力学第一定律即可正确求解.
解答:解:(1)气缸平放时,被封闭气体压强和体积分别为:P1=Pa,V1=LS ①
气缸竖直放置时,压强和体积为:
由玻意耳定律:P1V1=P2V2 ③
联立①②③解得:
故活塞的质量为:
(2)气体等温变化,内能不变,活塞下降过程对气体做功,根据热力学第一定律可知气体放热.
故气体放热,原因为:内能不变,活塞下降过程对气体做功,根据热力学第一定律可知气体放热.
点评:本题考查了气态方程和热力学第一定律的应用,比较简单,注意正确选取状态并求出状态参量.
练习册系列答案
相关题目