题目内容

用某种单色光做双缝干涉实验时,已知双缝间距离d=0.25mm,双缝到毛玻璃屏间距离L的大小由下图中毫米刻度尺读出(如戊图所示),实验时先移动测量头(如图甲所示)上的手轮,把分划线对准靠近最左边的一条明条纹(如图乙所示),并记下螺旋测微器的读数x1(如丙图所示),然后转动手轮,把分划线向右边移动,直到对准第7条明条纹并记下螺旋测微器读数x7(如丁图所示),由以上测量数据可求该单色光的波长.

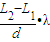
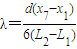
图示中双缝的位置L1=    mm,毛玻璃屏的位置L2=    mm,螺旋测微器的读数x1=    mm,螺旋测微器读数x7=    mm.请用以上测量量的符号表示该单色光波长的表达式λ=   
【答案】分析:毫米刻度尺读数要估读到0.1mm,螺旋测微器读数等于固定刻度读数加上可动刻度读数;根据求解光波长.
解答:解:毫米刻度尺读数要估读到0.1mm,双缝的位置L1=100.0mm;
毛玻璃屏的位置L2=938.2mm;
螺旋测微器读数等于固定刻度读数加上可动刻度读数,故x1=0+30.0×0.01mm=0.300mm;
x7=14.5mm+20.0×0.01mm=14.700mm;
根据,故:x7-x1=6,故
故答案为:100.0,938.2,0.300,14.700mm,
点评:本题关键会用毫米刻度尺和螺旋测微器读数,要注意估读,同时要会用公式列式求解.
练习册系列答案
相关题目
(1)用某种单色光做双缝干涉实验时,已知双缝间距d为2.0×10-4 m,测得双缝到屏的距离L为0.700m,将测量头的分划板中心刻线与某条亮纹中心对齐,将该亮纹定为第1条亮纹,此时手轮上的示数如图甲所示.然后同方向转动测量头,使分划板中心刻线与第6条亮纹中心对齐,记下此时图乙中手轮上的示数为
13.870
13.870
mm,求得相邻亮纹的间距△x为
2.310
2.310
mm,求得所测红光波长为
6.6
×10
-7
 
6.6
×10
-7
 
m.

(2)如图是某同学用打点计时器研究小车做匀变速直线运动时打出的一条纸带,A、B、C、D、E为该同学在纸带上所选的计数点,相邻计数点间的时间间隔为△t.由图可知,打点计时器打下D点时小车的瞬时速度为
S
 
4
-S
 
2
2△t
S
 
4
-S
 
2
2△t
,小车的加速度为
S
 
4
-
2S
 
2
4
t
2
 
S
 
4
-
2S
 
2
4
t
2
 

(3)实验室有一闲置的电流表A1,实验员为测定它的内阻r1的精确值,
有如下器材:
电流表A1(量程300mA,内阻约为5Ω)  电流表A2(量程600mA,内阻约为1Ω)
电压表V(量程为15V,内阻约为3kΩ)    定值电阻R0=5Ω
滑动变阻器R1 ( 最大阻值10Ω,额定电流为1A)
滑动变阻器R2(最大阻值250Ω  额定电流为0.3A)
电源 E,电动势为3V,内阻较小         导线,电键若干
①要求电流表A1的示数从零开始变化,而且能多测几组数据,尽可能减少误差,在答题卷的方框中画出测量用的电路图,并在图中标出所用的器材的代号.
②若选测量的数据中的一组来计算电流表A1的内阻r1,则r1的表达式为r1=
(I
 
2
-I
 
1
)R
 
0
I
 
1
(I
 
2
-I
 
1
)R
 
0
I
 
1
;式中各符号的意思是
R
 
0
是定值电阻的电阻大小,
I
 
1
I
 
2
分别是某次实验电流表
A
 
1
A
 
2
的读数
R
 
0
是定值电阻的电阻大小,
I
 
1
I
 
2
分别是某次实验电流表
A
 
1
A
 
2
的读数
(1)某同学用某种单色光做双缝干涉实验时,已知双缝间距离为d,双缝到毛玻璃屏间距离为L,实验时先移动测量头(如图A所示)上的手轮,把分划线对准靠近最左边的第1条明条纹中心(如图D所示),并记下游标卡尺的读数x1(如图B所示),然后转动手轮,把分划线向右边移动,直到对准第7条明条纹中心(如图E所示)并记下游标卡尺读数x7(如图C所示).游标卡尺的读数x1=
 
mm,游标卡尺读数x7=
 
mm.计算实验中所用单色光波长的表达式为
 

精英家教网
(2)如图为“探究碰撞中的不变量”实验装置,滑块A、B静止在水平气垫导轨上,两滑块间紧压一轻弹簧,滑块用绳子连接,绳子烧断后,两个滑块向相反方向运动,轻弹簧掉落.现拍得闪光频率为10HZ的一组频闪照片.已知滑块A、B的质量分别为200g、300g.根据照片记录的信息可知,A、B离开弹簧后:
①A滑块动量大小为
 

②弹簧弹开后滑块AB的总动量为
 

精英家教网
(3)某兴趣小组的同学用一个柠檬做成水果电池.他们猜想此电池内阻可能较大,从而设计了一个如图所示电路来测定该电池的电动势和内电阻.实验中他们多次改变电阻箱的电阻值,记录了电阻箱的阻值及对应的电流计示数,并算出电流的倒数值,将数据填在如下的表格中.
①利用图象法处理数据可以减小实验误差,请用恰当的作图方案,在给出的坐标纸上作出图象.
②利用你作出的图象,可求出该柠檬电池的电动势为
 
V,若不计电流计的电阻,则该电池的内阻为
 
Ω.
电阻R
(KΩ)
电流I
(μΑ)
电流的倒数-
1
I
(×10-3μA-1
10 80 12.50
8.0 98 10.20
6.0 122 8.20
5.0 145 6.90
3.0 225 4.44
精英家教网

违法和不良信息举报电话:027-86699610 举报邮箱:58377363@163.com

精英家教网