ÌâÄ¿ÄÚÈÝ
ÁçÑò´Ó¾²Ö¹¿ªÊ¼±¼ÅÜ£¬¾¹ý50mÄܼÓËÙµ½×î´óËÙ¶È25m/s²¢ÄÜά³ÖÕâ¸öËٶȽϳ¤µÄʱ¼ä£®ÁÔ±ª´Ó¾²Ö¹¿ªÊ¼±¼ÅÜ£¬¾¹ý60mÄÜ´ïµ½×î´óËÙ¶È30m/s£¬ÒÔºóÖ»ÄÜά³ÖÕâ¸öËÙ¶È4s£®ÉèÁÔ±ªÓëÁçÑòxÃ×ʱ¿ªÊ¼¹¥»÷£¬ÁçÑòÔÚÁÔ±ª¿ªÊ¼¹¥»÷ºó1s ²Å¿ªÊ¼±¼ÅÜ£®ÉèËüÃÇÔÚ¼ÓËٽ׶ξù×÷ÔȼÓËÙÖ±ÏßÔ˶¯£¬Ç󣺣¨1£©ÁÔ±ªÒªÔÚ×î´óËٶȼõËÙǰ׷ÉÏÁçÑò£¬ÇóxµÄ·¶Î§£»
£¨2£©ÁÔ±ªÒªÔÚ¼ÓËÙ½×¶Î×·ÉÏÁçÑò£®ÇóxµÄ·¶Î§£®
¡¾´ð°¸¡¿·ÖÎö£º£¨1£©¸ùv2-
=2axÇó³öÁçÑòºÍÁÔ±ª¼ÓËÙ¹ý³ÌµÄ¼ÓËÙ¶È£¬ÒÔ¼°¼ÓËÙʱ¼ä£¬¸ù¾ÝÁÔ±ªÒªÔÚÆä×î´óËٶȼõËÙǰ׷µ½ÁçÑò¿ÉÖªÁÔ±ª×î´óÔÈËÙʱ¼äΪ4.0s£¬¸ù¾ÝÁÔ±ªºÍÁçÑòÖ®¼äµÄÎ»ÒÆ¹ØÏµÁз½³Ì¼´¿ÉÕýÈ·Çó½â£®
£¨2£©ÁÔ±ªÒªÔÚÆä¼ÓËÙ½×¶Î×·ÉÏÁçÑò£¬Ö»ÒªÁÔ±ªÔ˶¯Ê±¼äСÓÚÆä¼ÓËÙµÄ×î´óʱ¼ä¼´¿É£¬È»ºó¸ù¾ÝÎ»ÒÆ¹ØÏµÁз½³Ì¼´¿ÉÕýÈ·Çó½â£®
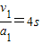
½â´ð£º½â£º£º£¨1£©ÁçÑò×ö¼ÓËÙÔ˶¯µÄ¼ÓËÙ¶ÈΪ£ºa1=
ÁçÑò×ö¼ÓËÙÔ˶¯µÄʱ¼äΪt1=
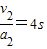
ÁÔ±ª×ö¼ÓËÙÔ˶¯µÄ¼ÓËÙ¶ÈΪa2=
=7.5m/s2
ÁÔ±ª×ö¼ÓËÙÔ˶¯µÄʱ¼äΪt2=
£®
ÏÔÈ»ÓÉt1=t2¿ÉÖª£ºµ±ÁÔ±ª½øÈëÔÈËÙÔ˶¯¹ý³Ì1sºó£¬ÁçÑò½«×öÔÈËÙÔ˶¯£®
µ±ÁÔ±ªÔÈËÙÔ˶¯4.0sʱ£¬¸ù¾ÝÎ»ÒÆ¹ØÏµÓУº
s2+v2t¡Ýs1+x+v1£¨t-1£©
½âµÃ£ºx¡Ü55m
£¨2£©ÁÔ±ªÒªÔÚÆä¼ÓËÙ½×¶Î×·ÉÏÁçÑò£¬ÁÔ±ªÔ˶¯µÄʱ¼ät£¼t2=4s
ÓÖÒòt1=t2£¬
Ôò¸ù¾ÝÎ»ÒÆ¹ØÏµÓУº
a2t2¡Ý
a1£¨t-1£©2+x
½âµÃ£ºx¡Ü31.9m£®
´ð£º£¨1£©ÁÔ±ªÒªÔÚÆä×î´óËٶȼõËÙǰ׷µ½ÁçÑò£¬xÖµÓ¦Âú×㣺x¡Ü55m£®
£¨2£©ÁÔ±ªÒªÔÚÆä¼ÓËÙ½×¶Î×·ÉÏÁçÑò£¬xÖµÓ¦Âú×㣺x¡Ü31.9m£®
µãÆÀ£º¶ÔÓÚ×·¼°ÎÊÌâÒ»ÊÇÒªÊìÁ·Ó¦ÓÃÔ˶¯Ñ§¹«Ê½£¬¶þÊÇÃ÷È·×·Õߺͱ»×·ÕßÖ®¼äµÄÎ»ÒÆ¡¢Ê±¼ä¹ØÏµ£¬¸ù¾ÝÎ»ÒÆ¡¢Ê±¼ä¹ØÏµÁз½³Ì¼´¿ÉÕýÈ·Çó½â£®
£¨2£©ÁÔ±ªÒªÔÚÆä¼ÓËÙ½×¶Î×·ÉÏÁçÑò£¬Ö»ÒªÁÔ±ªÔ˶¯Ê±¼äСÓÚÆä¼ÓËÙµÄ×î´óʱ¼ä¼´¿É£¬È»ºó¸ù¾ÝÎ»ÒÆ¹ØÏµÁз½³Ì¼´¿ÉÕýÈ·Çó½â£®
½â´ð£º½â£º£º£¨1£©ÁçÑò×ö¼ÓËÙÔ˶¯µÄ¼ÓËÙ¶ÈΪ£ºa1=
ÁçÑò×ö¼ÓËÙÔ˶¯µÄʱ¼äΪt1=
ÁÔ±ª×ö¼ÓËÙÔ˶¯µÄ¼ÓËÙ¶ÈΪa2=
ÁÔ±ª×ö¼ÓËÙÔ˶¯µÄʱ¼äΪt2=
ÏÔÈ»ÓÉt1=t2¿ÉÖª£ºµ±ÁÔ±ª½øÈëÔÈËÙÔ˶¯¹ý³Ì1sºó£¬ÁçÑò½«×öÔÈËÙÔ˶¯£®
µ±ÁÔ±ªÔÈËÙÔ˶¯4.0sʱ£¬¸ù¾ÝÎ»ÒÆ¹ØÏµÓУº
s2+v2t¡Ýs1+x+v1£¨t-1£©
½âµÃ£ºx¡Ü55m
£¨2£©ÁÔ±ªÒªÔÚÆä¼ÓËÙ½×¶Î×·ÉÏÁçÑò£¬ÁÔ±ªÔ˶¯µÄʱ¼ät£¼t2=4s
ÓÖÒòt1=t2£¬
Ôò¸ù¾ÝÎ»ÒÆ¹ØÏµÓУº
| 1 |
| 2 |
| 1 |
| 2 |
½âµÃ£ºx¡Ü31.9m£®
´ð£º£¨1£©ÁÔ±ªÒªÔÚÆä×î´óËٶȼõËÙǰ׷µ½ÁçÑò£¬xÖµÓ¦Âú×㣺x¡Ü55m£®
£¨2£©ÁÔ±ªÒªÔÚÆä¼ÓËÙ½×¶Î×·ÉÏÁçÑò£¬xÖµÓ¦Âú×㣺x¡Ü31.9m£®
µãÆÀ£º¶ÔÓÚ×·¼°ÎÊÌâÒ»ÊÇÒªÊìÁ·Ó¦ÓÃÔ˶¯Ñ§¹«Ê½£¬¶þÊÇÃ÷È·×·Õߺͱ»×·ÕßÖ®¼äµÄÎ»ÒÆ¡¢Ê±¼ä¹ØÏµ£¬¸ù¾ÝÎ»ÒÆ¡¢Ê±¼ä¹ØÏµÁз½³Ì¼´¿ÉÕýÈ·Çó½â£®
Á·Ï°²áϵÁдð°¸
Ïà¹ØÌâÄ¿