题目内容
如图所示,平行金属板长为L,一个带电为+q,质量为m的粒子以初速度v紧贴上板垂直射入电场,刚好从下板边缘射出,末速度恰与下板成30°角,粒子重力不计.求:(1)粒子未速度大小;
(2)电场强度;
(3)两极间距离d.
【答案】分析:(1)粒子在电场中做类平抛运动,由运动的合成与分解可知粒子的末速度的大小;
(2)将粒子的运动分解为水平方向的匀速运动和竖直方向的匀加速直线运动,则由运动的合成与分解可求得电场强度;
(3)由动能定理可求得两板间的距离.
解答:
解:(1)将末速度分解,
由几何关系知:
所以:
;
(2)带电粒子做类平抛运动,依题知,粒子在电场中的运动时间:
粒子离开电场时,垂直板方向的分速度:v1=vtan30°
竖直方向加速度:a=
粒子从射入电场到离开电场,有at=v1
即:
=v1;
联立以上各式得
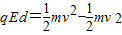
(3)粒子从射入电场到离开电场,由动能定理,有
解得
答:(1)粒子的末速度为
;
(2)电场强度E为
;
(3)板间距离为
.
点评:带电粒子在电场中的运动,若垂直电场线进入则做类平抛运动,要将运动分解为沿电场线和垂直于电场线两个方向进行分析,利用直线运动的规律进行求解.
(2)将粒子的运动分解为水平方向的匀速运动和竖直方向的匀加速直线运动,则由运动的合成与分解可求得电场强度;
(3)由动能定理可求得两板间的距离.
解答:
由几何关系知:
所以:
(2)带电粒子做类平抛运动,依题知,粒子在电场中的运动时间:
粒子离开电场时,垂直板方向的分速度:v1=vtan30°
竖直方向加速度:a=
粒子从射入电场到离开电场,有at=v1
即:
联立以上各式得
(3)粒子从射入电场到离开电场,由动能定理,有
解得
答:(1)粒子的末速度为
(2)电场强度E为
(3)板间距离为
点评:带电粒子在电场中的运动,若垂直电场线进入则做类平抛运动,要将运动分解为沿电场线和垂直于电场线两个方向进行分析,利用直线运动的规律进行求解.
练习册系列答案
相关题目