ÌâÄ¿ÄÚÈÝ
¹âµç¼ÆÊ±Æ÷ÊÇÒ»ÖÖÑо¿ÎïÌåÔ˶¯Çé¿öµÄ³£¼ûÒÇÆ÷£®µ±ÓÐÎïÌå´Ó¹âµçÃÅͨ¹ýʱ£¬¹âµç¼ÆÊ±Æ÷¾Í¿ÉÒÔÏÔʾÎïÌåµÄµ²¹âʱ¼ä£®ÏÖÀûÓÃÈçͼ¼×ËùʾװÖÃ̽¾¿ÎïÌåµÄ¼ÓËÙ¶ÈÓëºÏÍâÁ¦¡¢ÖÊÁ¿¹ØÏµ£¬Æä NQÊÇˮƽ×ÀÃæ£¬PQÊÇÒ»¶Ë´øÓл¬Âֵij¤Ä¾°å£¬1¡¢2Êǹ̶¨ÔÚľ°åÉϵÄÁ½¸ö¹âµçÃÅ£¨ÓëÖ®Á¬½ÓµÄÁ½¸ö¹âµç¼ÆÊ±Æ÷ûÓл³ö£©£®Ð¡³µÉϹ̶¨×ÅÓÃÓÚµ²¹âµÄÕÆ¬K£¬²âµÃÆä¿í¶ÈΪd£¬ÈÃС³µ´Óľ°åµÄ¶¥¶Ë»¬Ï£¬¹âµçß÷×ÔÁ¬½ÓµÄ¼ÆÊ±Æ÷ÏÔÊ¾ÕÆ¬KµÄµ²¹âʱ¼ä·Ö±ðΪt1ºÍt2£®£¨1£©¸ÃʵÑéÖУ¬ÔڸıäС³µµÄÖÊÁ¿M»òɳͰµÄ×ÜÖÊÁ¿mʱ£¬±£³ÖM£¾£¾m£¬ÕâÑù×öµÄÄ¿µÄÊÇ______£»
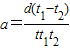
£¨2£©ÎªÁ˼ÆËãС³µµÄ¼ÓËÙ¶È£¬³ýÁ˲âÁ¿d¡¢t1ºÍt2Ö®Í⣬»¹ÐèÒª²âÁ¿______£¬ÈôÉÏÊö²âÁ¿Á¿ÓÃx±íʾ£¬ÔòÓÃÕâЩÎïÀíÁ¿¼ÆËã¼ÓËٶȵıí´ïʽΪa=______1-
| t | 22 |
| t | 21 |
| t | 22 |
¡¾´ð°¸¡¿·ÖÎö£º£¨1£©¸ù¾ÝʵÑéÔÀí¿ÉÖª£¬Ö»Óе±Âú×ãM£¾£¾mʱɳͰµÄ×ÜÖØÁ¦²Å¿É¿´×÷С³µµÄºÏÍâÁ¦£®
£¨2£©Í¨¹ý²âÁ¿µÄd¡¢t1ºÍt2¿ÉÒÔÇó³öС³µÍ¨¹ý¹âµçÃÅ1¡¢2ʱµÄËÙ¶È´óС£¬Èç¹ûÖªµÀÁËС³µÍ¨¹ý¹âµçÃÅ1ºÍ2µÄʱ¼ä»òÕßÎ»ÒÆ£¬¸ù¾ÝÔ˶¯Ñ§¹«Ê½¼´¿ÉÇó³öÎïÌåµÄ¼ÓËÙ¶È£¬¾Ý´Ë¿ÉÕýÈ·½â´ð±¾Ì⣮
£¨3£©ÓÉͼ¿ÉÖª¿ªÊ¼ÓÐÍâÁ¦Ê±£¬¶øÐ¡³µµÄ¼ÓËÙ¶ÈΪÁ㣬˵Ã÷²Ù×÷¹ý³ÌÖÐûÓÐÆ½ºâĦ²ÁÁ¦»òÕ߯½ºâĦ²ÁÁ¦²»×㣮
½â´ð£º½â£º£¨1£©ÊµÑéÖÐÎÒÃÇÈÏΪ£ºmg=Ma£¬¶øÊµ¼ÊÉÏÊÇ£ºmg=£¨M+m£©a£¬Òò´ËÖ»Óе±M£¾£¾mʱ£¬Ð¡³µËùÊܺÏÍâÁ¦´óСµÈÓÚmg£®
¹Ê´ð°¸Îª£ºÐ¡³µËùÊܺÏÍâÁ¦´óСµÈÓÚ£¨»òÔ¼µÈÓÚ£©mg£®
£¨2£©Í¨¹ý¹âµçÃŵIJâÁ¿ÎÒÃǼÆËã³öÁËͨ¹ý¹âµçÃÅ1µÄËÙ¶ÈΪ£º
£¬
ͨ¹ý2ʱµÄËÙ¶ÈΪ£º
Èç¹û²âÁ¿³ö¾¹ý1¡¢2ʱµÄʱ¼ät£¬¸ù¾Ý£º
£¬µÃ£º
Èç¹û²â³ö¾¹ý1¡¢2ʱµÄ¾àÀëx£¬¸ù¾Ý£º
£¬µÃ£ºa=
£®
¹Ê´ð°¸Îª£ºÁ½¹âµçÃÅÖ®¼äµÄ¾àÀ루»ò¡°Ð¡³µÓɹâµçÃÅ1Ô˶¯ÖÁ¹âµçÃÅ2ËùÓÃʱ¼ä¡±£©£¬
£¨»ò¡°£º
¡±£©
£¨3£©ÓÉͼÒÒ¿ÉÖª£¬¿ªÊ¼Ð¡³µÊܺÏÍâÁ¦Ê±£¬¼ÓËÙ¶ÈȴΪÁ㣬Òò´Ë²Ù×÷¹ý³ÌÖпÉÄÜûÓÐÆ½ºâĦ²ÁÁ¦»òÕ߯½ºâĦ²ÁÁ¦²»×㣮
¹Ê´ð°¸Îª£ºÄ¾°åÇã½ÇƫС£¨»ò¡°Æ½ºâĦ²ÁÁ¦²»×㡱»ò¡°Ä©ÍêȫƽºâĦ²ÁÁ¦¡±£©£®
µãÆÀ£º±¾ÊµÑéÓë½Ì²ÄÖеÄʵÑéÓÐËù²»Í¬£¬µ«ÊǸù¾ÝËùѧÎïÀí֪ʶ£¬Ã÷È·ÁËʵÑéÔÀí£¬¼´¿ÉÕýÈ·½â´ð£®
£¨2£©Í¨¹ý²âÁ¿µÄd¡¢t1ºÍt2¿ÉÒÔÇó³öС³µÍ¨¹ý¹âµçÃÅ1¡¢2ʱµÄËÙ¶È´óС£¬Èç¹ûÖªµÀÁËС³µÍ¨¹ý¹âµçÃÅ1ºÍ2µÄʱ¼ä»òÕßÎ»ÒÆ£¬¸ù¾ÝÔ˶¯Ñ§¹«Ê½¼´¿ÉÇó³öÎïÌåµÄ¼ÓËÙ¶È£¬¾Ý´Ë¿ÉÕýÈ·½â´ð±¾Ì⣮
£¨3£©ÓÉͼ¿ÉÖª¿ªÊ¼ÓÐÍâÁ¦Ê±£¬¶øÐ¡³µµÄ¼ÓËÙ¶ÈΪÁ㣬˵Ã÷²Ù×÷¹ý³ÌÖÐûÓÐÆ½ºâĦ²ÁÁ¦»òÕ߯½ºâĦ²ÁÁ¦²»×㣮
½â´ð£º½â£º£¨1£©ÊµÑéÖÐÎÒÃÇÈÏΪ£ºmg=Ma£¬¶øÊµ¼ÊÉÏÊÇ£ºmg=£¨M+m£©a£¬Òò´ËÖ»Óе±M£¾£¾mʱ£¬Ð¡³µËùÊܺÏÍâÁ¦´óСµÈÓÚmg£®
¹Ê´ð°¸Îª£ºÐ¡³µËùÊܺÏÍâÁ¦´óСµÈÓÚ£¨»òÔ¼µÈÓÚ£©mg£®
£¨2£©Í¨¹ý¹âµçÃŵIJâÁ¿ÎÒÃǼÆËã³öÁËͨ¹ý¹âµçÃÅ1µÄËÙ¶ÈΪ£º
ͨ¹ý2ʱµÄËÙ¶ÈΪ£º
Èç¹û²âÁ¿³ö¾¹ý1¡¢2ʱµÄʱ¼ät£¬¸ù¾Ý£º
Èç¹û²â³ö¾¹ý1¡¢2ʱµÄ¾àÀëx£¬¸ù¾Ý£º
¹Ê´ð°¸Îª£ºÁ½¹âµçÃÅÖ®¼äµÄ¾àÀ루»ò¡°Ð¡³µÓɹâµçÃÅ1Ô˶¯ÖÁ¹âµçÃÅ2ËùÓÃʱ¼ä¡±£©£¬
£¨3£©ÓÉͼÒÒ¿ÉÖª£¬¿ªÊ¼Ð¡³µÊܺÏÍâÁ¦Ê±£¬¼ÓËÙ¶ÈȴΪÁ㣬Òò´Ë²Ù×÷¹ý³ÌÖпÉÄÜûÓÐÆ½ºâĦ²ÁÁ¦»òÕ߯½ºâĦ²ÁÁ¦²»×㣮
¹Ê´ð°¸Îª£ºÄ¾°åÇã½ÇƫС£¨»ò¡°Æ½ºâĦ²ÁÁ¦²»×㡱»ò¡°Ä©ÍêȫƽºâĦ²ÁÁ¦¡±£©£®
µãÆÀ£º±¾ÊµÑéÓë½Ì²ÄÖеÄʵÑéÓÐËù²»Í¬£¬µ«ÊǸù¾ÝËùѧÎïÀí֪ʶ£¬Ã÷È·ÁËʵÑéÔÀí£¬¼´¿ÉÕýÈ·½â´ð£®
Á·Ï°²áϵÁдð°¸
Ïà¹ØÌâÄ¿