题目内容
小球以水平初速度v抛出,经过一段时间t后,速度大小为v1,则小球在这段时间内速度的变化量为 .又经过相同的时间t后,小球的速度v2= .
【答案】分析:小球做平抛运动,水平分运动是匀速运动,竖直分运动是自由落体运动,根据分运动公式列式求解.
解答:解:将速度v1正交分解,水平分速度为v,故速度变化量等于竖直分速度的增加量,为:
;
又经过相同的时间t后,竖直分速度增加量也为
,故竖直分速度变为:2
;
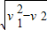
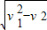
此时小球的速度为:v′=
;
故答案为:
,
.
点评:本题关键要明确速度是矢量,速度变化是矢量,不能用速度大小直接相减;基础题.
解答:解:将速度v1正交分解,水平分速度为v,故速度变化量等于竖直分速度的增加量,为:
又经过相同的时间t后,竖直分速度增加量也为
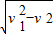
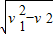
此时小球的速度为:v′=
故答案为:
点评:本题关键要明确速度是矢量,速度变化是矢量,不能用速度大小直接相减;基础题.
练习册系列答案
相关题目