题目内容
某同学利用光电门传感器设计了一个研究小物体自由下落时机械能是否守恒的实验,实验装置如图所示,图中A、B两位置分别固定了两个光电门传感器.实验时测得小物体上宽度为d的挡光片通过A的挡光时间为t1,通过B的挡光时间为t2.为了证明小物体通过A、B时的机械能相等,还需要进行一些实验测量和列式证明.①(单选)选出下列还需要的实验测量步骤______
A.用天平测出运动小物体的质量m
B.测出A、B两传感器之间的竖直距离h
C.测出小物体释放时离桌面的高度H
D.用秒表测出运动小物体通过A、B两传感器的时间△t
②若该同学用d和t的比值来反映小物体经过A、B光电门时的速度,并设想如果能满足______关系式,即能证明在自由落体过程中小物体的机械能是守恒的.
【答案】分析:①根据实验目的以及机械能守恒定律的表达式,可明确该实验需要测量的物理量;
②写出机械能守恒的表达式,可正确解答本题.
解答:解:①A、根据机械能守恒的表达式,可知不需要测量质量,A错误;
B、实验中需要测量从A到B过程中重力势能的减小量,因此需要测量AB之间的距离h,故B正确;
C、测出AB之间的距离h,不需要测量小物体释放时离桌面的高度H,故C错误;
D、根据机械能守恒定律的表达式,可知不需要测量小物体通过A、B两传感器的时间△t,故D错误.
故选B.
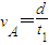
②本实验中利用小球通过光电门的平均速度来代替瞬时速度,故有:
,
根据
可得:
.
故答案为:
.
点评:对于实验不光要从理论上理解,关键是要动手实验,体会实验步骤以及数据处理的过程,加深对实验的理解.
②写出机械能守恒的表达式,可正确解答本题.
解答:解:①A、根据机械能守恒的表达式,可知不需要测量质量,A错误;
B、实验中需要测量从A到B过程中重力势能的减小量,因此需要测量AB之间的距离h,故B正确;
C、测出AB之间的距离h,不需要测量小物体释放时离桌面的高度H,故C错误;
D、根据机械能守恒定律的表达式,可知不需要测量小物体通过A、B两传感器的时间△t,故D错误.
故选B.
②本实验中利用小球通过光电门的平均速度来代替瞬时速度,故有:
根据
可得:
故答案为:
点评:对于实验不光要从理论上理解,关键是要动手实验,体会实验步骤以及数据处理的过程,加深对实验的理解.
练习册系列答案
相关题目