题目内容
A.b、c的线速度大小相等,且大于a的线速度
B.b、c的向心加速度大小相等,且小于a的向心加速度
C.c加速可追上同一轨道上的b,b减速可等候同一轨道上的c
D.a卫星由于某原因,轨道半径缓慢减小,其线速度将减小
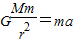
【答案】分析:根据万有引力提供向心力
,比较线速度、向心加速度.万有引力做正功,动能增加.
解答:解:A、根据
,
,知b、c的线速度大小相等,且小于a的线速度.故A错误.
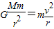
B、根据
,a=
,知b、c的向心加速度大小相等,且小于a的向心加速度.故B正确.
C、c加速,万有引力不够提供向心力,做离心运动,会离开原来的轨道,b减速,万有引力大于所需要的向心力,做近心运动,也会离开原来的轨道.所以不会追上.故C错误.
D、a卫星由于某原因,轨道半径缓慢减小,万有引力做正功,动能增大,速度增大.故D错误.
故选B.
点评:解决本题的关键掌握万有引力提供向心力
.能够根据该规律比较线速度、向心加速度.
解答:解:A、根据
B、根据
C、c加速,万有引力不够提供向心力,做离心运动,会离开原来的轨道,b减速,万有引力大于所需要的向心力,做近心运动,也会离开原来的轨道.所以不会追上.故C错误.
D、a卫星由于某原因,轨道半径缓慢减小,万有引力做正功,动能增大,速度增大.故D错误.
故选B.
点评:解决本题的关键掌握万有引力提供向心力
练习册系列答案
相关题目