题目内容

如图,真空中有一匀强电场,方向沿Ox正方向,若质量为m、电荷量为q的带电微粒从O点以初速v0沿Oy方向进入电场,经Δt时间到达A点,此时速度大小也是vo,方向沿Ox轴正方向,如图所示.求:

(1)从O点到A点的时间Δt.

(2)该匀强电场的场强E及OA连线与Ox轴的夹角

(3)若设O点电势为零,则A点电势多大.

答案:
解析:

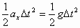
  解析分析带电微粒的运动特征,ox方向上,在电场作用下作匀加速运动;oy方向上,在重力作用下,作ay=g的匀减速运动,到A点时,速度为0.

  (1)在oy方向上,有0-V0=-g

  (2)在ox方向有v0=ax代入得ax=g

  Eq=max;将ax=g;代入得E=

  所以图中x=,y=

  所以x=y,故场强OA与Ox轴的夹角为45°

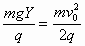
  (3)从O到A利用动能定理

  -mgY+qUOA ①

  vA=vo ②

  由①、②UOA ③

  由UOA0A ④

  0=0 ⑤

  由③、④、⑤解得A=-


练习册系列答案
相关题目

违法和不良信息举报电话:027-86699610 举报邮箱:58377363@163.com

精英家教网