题目内容

半径为R的玻璃半圆柱体,横截面积如图所示,圆心为O.两条平行单色红光沿截面射向圆柱面,方向与底面垂直,光线1的入射点A为圆柱面的顶点,光线2的入射点为B,∠AOB=60°.已知该玻璃对红光的折射率n=

(1)求两条光线经柱面和底面折射后的交点与O点的距离d;

(2)若入射的是单色蓝光,则距离d将比上面求得的结果大还是小?

答案:
解析:

  答案:①13R ②小

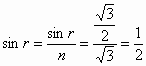
  解析:(1)如图,光线1不偏折,光线2,i=60°.

  ,得

  r=30°.

  =60°-r=30°,

  sin


练习册系列答案
相关题目

违法和不良信息举报电话:027-86699610 举报邮箱:58377363@163.com

精英家教网