题目内容

如图所示,质量分别为m、M的A、B两物体叠放在光滑的水平桌面上.A与B之间的动摩擦因数为μ,用一水平力F作用于B上.使A和B保持相对静止地向右运动,位移为l,则在此过程中F做的功为________,摩擦力对A做的功为_________.

答案:略
解析:

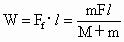
Fl,

F做的功W=FlA所受的摩擦力为静磨擦力,,而,所以,摩擦力对A做的功


练习册系列答案
相关题目

违法和不良信息举报电话:027-86699610 举报邮箱:58377363@163.com

精英家教网