题目内容

物体从静止开始做匀加速直线运动,已知第4s内与第2s内的位移之差是12m,则可知

[  ]

A.第1s内的位移是3m

B.第2s末的速度是8m/s

C.物体运动的加速度为

D.物体在5s的平均速度为15m/s

答案:AD
解析:

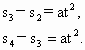
本题全面考查匀变速直线运动规律的应用,以及掌握的熟练程度,本题涉及到四个物理量的确定,要求对这些物理量的关系能融会贯通,并抓住加速度这一关键.由题意,可利用先求出a.因此设第1s内、第2s内、第3s内、第4s内的位移分别为,则

所以C项错.

A项对.

2sB项错.

5aD项对.


练习册系列答案
相关题目

违法和不良信息举报电话:027-86699610 举报邮箱:58377363@163.com

精英家教网