题目内容
地球的第一宇宙速度为v1,若某行星质量是地球质量的4倍,半径是地球半径的
【答案】分析:物体在地面附近绕地球做匀速圆周运动的速度叫做第一宇宙速度,大小7.9km/s,可根据卫星在圆轨道上运行时的速度公式v=
解得.
解答:解:设地球质量M,某星球质量6M,地球半径r,某星球半径1.5r
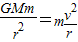
由万有引力提供向心力做匀速圆周运动得:
解得:卫星在圆轨道上运行时的速度公式v=
分别代入地球和某星球的各物理量
解得:v星球:v地球=
:1
所以该行星的第一宇宙速度为2
V1
答:该行星的第一宇宙速度2
V1
点评:本题要掌握第一宇宙速度的定义,正确利用万有引力公式列出第一宇宙速度的表达式.
解答:解:设地球质量M,某星球质量6M,地球半径r,某星球半径1.5r
由万有引力提供向心力做匀速圆周运动得:
解得:卫星在圆轨道上运行时的速度公式v=
分别代入地球和某星球的各物理量
解得:v星球:v地球=
所以该行星的第一宇宙速度为2
答:该行星的第一宇宙速度2
点评:本题要掌握第一宇宙速度的定义,正确利用万有引力公式列出第一宇宙速度的表达式.
练习册系列答案
相关题目
设想在珠穆朗玛峰上用电磁炮平射不同速度的炮弹,考虑到地球的第一宇宙速度为7.9km/s,第二宇宙速度为11.2km/s,第三宇宙速度为16.7km/s,且不计大气阻力,则对下述不同初速度炮弹轨迹的讨论中正确的是( )
| A、v0=1.0km/s,其轨迹是抛物线 | B、v0=10.0km/s,其轨迹是椭圆 | C、v0=12.0km/s,其轨迹是椭圆 | D、v0=18.0km/s,其轨迹是椭圆 |