ÌâÄ¿ÄÚÈÝ

ÔÚÆ½ÃæÖ±½Ç×ø±êϵxOyÖУ¬µÚ¢òÏóÏÞ´æÔÚÑØxÖáÕý·½ÏòµÄÔÈÇ¿µç³¡£¬µÚ¢ñÏóÏÞ´æÔÚ´¹Ö±ÓÚ×ø±êÆ½ÃæÏòÍâµÄÔÈÇ¿´Å³¡£¬´Å¸ÐӦǿ¶ÈΪB£®Ò»ÖÊÁ¿Îªm¡¢µçºÉÁ¿ÎªqµÄ´øÕýµçµÄÁ£×Ó´ÓxÖḺ°ëÖáÉϵÄMµãÒÔËÙ¶Èv0´¹Ö±ÓÚxÖáÉäÈëµç³¡£¬¾­yÖáÉϵÄNµãÓëyÖáÕý·½Ïò³É£½60¡ã½ÇÉäÈë´Å³¡£¬×îºó´ÓxÖáÕý°ëÖáÉϵÄPµã´¹Ö±ÓÚxÖáÉä³ö´Å³¡£¬ÈçͼËùʾ£®²»¼ÆÁ£×ÓÖØÁ¦£¬Çó£º

(1)M¡¢NÁ½µã¼äµÄµçÊÆ²îUMN£»

(2)Á£×ÓÔڴų¡ÖÐÔ˶¯µÄ¹ìµÀ°ë¾¶r£»

(3)Á£×Ó´ÓMµãÔ˶¯µ½PµãµÄ×Üʱ¼ät£®

´ð°¸£º
½âÎö£º

¡¡¡¡½â£º(1)Óɶ¯Äܶ¨Àí£º¢Ù(2·Ö)

¡¡¡¡Ó֡ߢÚ(1·Ö)

¡¡¡¡Óɢ٢ڿɵãº(1·Ö)

¡¡¡¡(2)Á£×Ó½øÈë´Å³¡ÖÐ×öÔÈËÙÔ²ÖÜÔ˶¯£¬ÓÉÂåÂ××ÈÁ¦ÌṩÏòÐÄÁ¦£º

¡¡¡¡(2·Ö)

¡¡¡¡´Ó¶øµÃ£º(1·Ö)

¡¡¡¡(3)Á£×ÓÔڵ糡ÖÐ×öÀàÆ½Å×Ô˶¯

¡¡¡¡yÖá·½Ïò£º

¡¡¡¡¢Û(2·Ö)

¡¡¡¡Á£×ÓÔڴų¡ÖÐ×öÔÈËÙÔ²ÖÜÔ˶¯£¬×ª¹ýµÄ½Ç¶ÈΪ120¡ã

¡¡¡¡¢Ü(2·Ö)

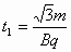
¡¡¡¡ÓɢۢܿɵÃÁ£×Ó´ÓMµãÔ˶¯µ½PµãµÄ×Üʱ¼ä£º(1·Ö)


Á·Ï°²áϵÁдð°¸
Ïà¹ØÌâÄ¿

Î¥·¨ºÍ²»Á¼ÐÅÏ¢¾Ù±¨µç»°£º027-86699610 ¾Ù±¨ÓÊÏ䣺58377363@163.com

¾«Ó¢¼Ò½ÌÍø