题目内容

飞机以的加速度由静止开始沿水平跑道起飞,第3s初的速度是多少?第3s内的位移是多少?第3s内的平均速度是多少?前3s内的平均速度是多少?

答案:20m/s;25m/s;15m/s
解析:

  第3s初的速度即为第2s末的速度.根据v=atv=10×2m/s=20m/s

3s内的位移

3s内的平均速度

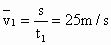
3s内的位移

3s内的平均速度:


练习册系列答案
相关题目

违法和不良信息举报电话:027-86699610 举报邮箱:58377363@163.com

精英家教网