题目内容

如图所示的电路中,已知R1=4 Ω,电流表的读数I=0.75 A,电压表读数U=2.0 V,经一段时间后一电阻断路,使电流表的读数变为=0.80 A,而电压表的读数变为=3.2 V,求:

(1)发生断路的电阻是哪一个?

(2)电源电动势和内阻各是多少?

答案:
解析:

  解:当其中一个电阻断路后,电流表、电压表均有示数,说明R1和R3都没有断路,所以只能是R2发生断路,此时R2上没有电流通过,电压表测量的是路端电压=3.2 V,电流表测量的R3中电流也是干路中电流=0.80 A

  所以:R3Ω=4 Ω

  R2断路前,路端电压U0=I3R3=0.75×4 V=3 V

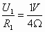
  对R1和R2串联的支路,加在R1两端的电压:U1=3 V-2 V=1 V

  I1=0.25 A

  R2的大小:R2=8 Ω

  则R2断路前,电路中总电流I0=I1+I3=(0.25+0.75)A=1 A

  根据闭合电路欧姆定律:

  R2断开前:E=U0+I0r=3+r

  R2断开后:E=r=3.2+0.8r

  联解上述两式得:E=4 V;r=1 Ω.

  解析:此例题是稳恒电路中的综合性题目,分析过程中要时刻注意部分电路欧姆定律与闭合电路欧姆定律的交替使用,同时还不忘串、并联特点与性质,而搞清电路的连接方式、电表的测量对象是正确解答此类题的前提条件.此题电路的连接方式是R1和R2串联成一个支路与R3支路并联后接到电源上,电流表测的是通过R3支路的电流,电压表测的是加在R2两端的电压.


练习册系列答案
相关题目
精英家教网如图所示的电路中,已知电源电动势为E,内电阻为r,定值电阻为R1,滑动变阻器为R,阻值可以从零连续增大到Rmax,已知r<R1<Rmax,下列结论正确的是(  )