题目内容

在光滑绝缘水平面的P点正上方O点固定了一电荷量为+Q的点电荷,在水平面上的N点,由静止释放质量为m,电荷量为-q的负检验电荷,该检验电荷经过P点时速度为v,图中,M点为ON连线的中点,规定电场中P点的电势为零。则在+Q形成的电场中

A.M点电势等于P点电势   

B.N点电势为

C.P点电场强度大小是N点的2倍  

D.检验电荷在N点具有的电势能为

 

【答案】

AB

【解析】

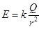
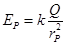
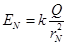
试题分析:M、P两点到+Q的距离,处于同一等势面上,电势相等,故A正确.根据动能定理得:检验电荷由N到P的过程:,由题,P点的电势为零,即,解得,N点的电势.故B正确.P点电场强度大小是,N点电场强度大小是,则.故C错误.检验电荷在N点具有的电势能为.故D错误;

考点:考查了电势能;电势.本题关键要掌握电场线方向与电势高低的关系,即顺着电场线方向电势降低,以及点电荷场强公式、电势能公式

 

练习册系列答案
相关题目

违法和不良信息举报电话:027-86699610 举报邮箱:58377363@163.com

精英家教网