题目内容
汽车以36km/h的速度在平直公路上匀速行驶,刹车后经2s速度变为21.6km/h,求:(1)刹车过程中的加速度;
(2)刹车后8s内前进的距离.
【答案】分析:(1)根据加速度的定义式
求出刹车过程中的加速度.
(2)根据匀变速直线运动的速度时间公式求出刹车到速度为零所需的时间,再根据位移公式求出刹车后的位移.
解答:解:(1)由题意:v=36km/h=10m/s v=21.6km/h=6m/s t=2s
则加速度
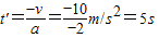
(2)汽车停下需要时间为
则刹车8s内的位移等于5s内的位移.
所以汽车在8s内前进的距离为
.
答:(1)刹车过程中的加速度为-2m/s2.
(2)刹车后8s内前进的距离为25m.
点评:该问题属于运动学中的刹车问题,在灵活运用运动学公式的同时,注意需判断汽车经过多长时间停下.
(2)根据匀变速直线运动的速度时间公式求出刹车到速度为零所需的时间,再根据位移公式求出刹车后的位移.
解答:解:(1)由题意:v=36km/h=10m/s v=21.6km/h=6m/s t=2s
则加速度
(2)汽车停下需要时间为
则刹车8s内的位移等于5s内的位移.
所以汽车在8s内前进的距离为
答:(1)刹车过程中的加速度为-2m/s2.
(2)刹车后8s内前进的距离为25m.
点评:该问题属于运动学中的刹车问题,在灵活运用运动学公式的同时,注意需判断汽车经过多长时间停下.
练习册系列答案
相关题目