题目内容

如图所示,总长为l的均匀柔软粗绳,挂在一个光滑的固定钉子上.开始时绳子的两端相平,绳处于静止状态,当略有扰动时其一端下落,则当绳子刚离开钉子的瞬间,其速度值为多大(不计钉子的大小)?

答案:略
解析:

解法一:如答图所示,选绳下垂末端为参考面,据机械能守恒有,所以

解法二:如答图所示,选距处为参考面,据机械能守恒有,所以

解法三:如答图所示,选过的水平线为参考面,据机械能守恒有,所以

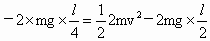
解法四;根据,如答图所示,相当于将半条绳接到另一半上,则,所以


练习册系列答案
相关题目

违法和不良信息举报电话:027-86699610 举报邮箱:58377363@163.com

精英家教网