题目内容
如图甲所示是一种速度传感器的工作原理图,这个系统中只有一个不动的小盒子B,工作时小盒子B向被测物体发出短暂的超声波脉冲,脉冲被运动的物体反射后又被B盒接受,从B盒发射超声波开始计时,经时间△t再次发射超声波脉冲,图乙是连续两次发射的超声波的位移-时间图象,关于对此图象的描述正确的是( )A.在常温常压下,
B.物体的平均速度为
C.物体的平均速度为
D.所测的平均速度可近似看做物体的瞬时速度
【答案】分析:超声波在空中匀速传播,根据发射和接收的时间差求出速度.物体通过的位移为x2-x1时,所用时间为
+
+△t0,再求解物体的平均速度.
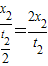
解答:解:A、由图知超声波在
时间内通过位移为x1,则超声波的速度为v声=
=
.由图可知:超声波通过位移为x2时,所用时间为
,则超声波的速度为v声>
.故A错误.
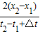
B、C、由题:物体通过的位移为x2-x1时,所用时间为
-
+△t=
(t2-t1+△t),物体的平均速度为
=
=
.故BC错误.
D、由于超声波速度极快,时间
+
+△t很短,所测的平均速度可近似看做物体的瞬时速度.故D正确.
故选D
点评:本题是实际应用问题,考查应用物理知识分析、理解现代科技装置原理的能力.
解答:解:A、由图知超声波在
B、C、由题:物体通过的位移为x2-x1时,所用时间为
D、由于超声波速度极快,时间
故选D
点评:本题是实际应用问题,考查应用物理知识分析、理解现代科技装置原理的能力.
练习册系列答案
相关题目