ÌâÄ¿ÄÚÈÝ
ÈçͼËùʾ£¬ÔÚxoy×ø±êÆ½ÃæµÄµÚÒ»ÏóÏÞÄÚÓÐÒ»ÑØyÖḺ·½ÏòµÄÔÈÇ¿µç³¡£¬ÔÚµÚËÄÏóÏÞÄÚÓÐÒ»´¹Ö±ÓÚÆ½ÃæÏòÀïµÄÔÈÇ¿´Å³¡£®ÏÖÓÐÒ»Á£×ÓÔ´´¦ÔÚ×ø±êΪ£¨0£¬L£©MµãÄÜÒÔ´¹Ö±Óëµç³¡·½Ïò²»¶Ï·¢ÉäÖÊÁ¿Îªm¡¢µçÁ¿Îª+q¡¢ËÙ¶ÈΪvµÄÁ£×Ó£¨ÖØÁ¦²»¼Æ£©£¬Á£×Ó½øÈë´Å³¡ºó×îºóÓÖ´ÓxÖáÉÏ×ø±êΪ£¨3L£¬0£©´¦µÄPµãÉäÈëµç³¡£¬ÆäÈëÉä·½ÏòÓëxÖá³É45°½Ç£®Ç󣺣¨1£©Á£×Óµ½´ïPµãʱµÄËÙ¶Èv£»
£¨2£©ÔÈÇ¿µç³¡µÄµç³¡Ç¿¶ÈEºÍÔÈÇ¿´Å³¡µÄ´Å¸ÐӦǿ¶ÈB£»
£¨3£©Á£×Ó´ÓMµãÔ˶¯µ½PµãËùÓõÄʱ¼ät£®
¡¾´ð°¸¡¿·ÖÎö£º£¨1£©Á£×Ó´øµç³¡ÖÐ×öÀàÆ½Å×Ô˶¯£¬Ôڴų¡ÖÐ×öÔÈËÙÔ²ÖÜÔ˶¯£¬¸ù¾Ý¶Ô³ÆÐÔ¿ÉÒÔÇó³öËÙ¶È£»
£¨2£©Á£×ÓÓÉMµãÔ˶¯µ½PµãµÄ¹ý³ÌÖУ¬Óɶ¯Äܶ¨Àí¿ÉÒÔÇó³öµç³¡Ç¿¶È£¬¸ù¾Ý¼¸ºÎ¹ØÏµ¿ÉÒÔÇó³ö°ë¾¶£¬ÔÙ¸ù¾ÝÔ²ÖÜÔ˶¯µÄÏòÐÄÁ¦¹«Ê½¿ÉÒÔÇó³ö´Å³¡Ç¿¶È£»
£¨3£©·Ö±ðÇó³öÁ£×ÓÔڴų¡ºÍµç³¡ÖÐÔ˶¯µÄʱ¼ä£¬Ê±¼äÖ®ºÍ¼´ÊÇ×Üʱ¼ä£®
½â´ð£º
½â£º£¨1£©Á£×ÓÔ˶¯¹ì¼£ÈçͼËùʾ£®ÉèÁ£×ÓÔÚPµãËÙ¶ÈΪv£¬
¸ù¾Ý¶Ô³ÆÐÔ¿ÉÖªv=vcos45°£¬
½âµÃ£º
£¨2£©Á£×ÓÓÉMµãÔ˶¯µ½PµãµÄ¹ý³ÌÖУ¬Óɶ¯Äܶ¨ÀíµÃ£º
½âµÃE=
ˮƽ·½ÏòµÄÎ»ÒÆÎªxOQ=vt1
ÊúÖ±·½ÏòµÄÎ»ÒÆÎª
£¬¿ÉµÃxOQ=2L£¬xQP=L
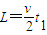
ÓÉxQP=2Rcos45°£¬¹ÊÁ£×ÓÔÚOQ¶ÎÔ²ÖÜÔ˶¯µÄ°ë¾¶R=
Á£×ÓÔڴų¡ÖУº
£¬
ÁªÁ¢½âµÃ£º
£¨3£©ÔÚQµãʱ£¬vy=vtan45°=v
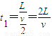
ÉèÁ£×Ó´ÓMµ½QËùÓÃʱ¼äΪt1£¬ÔÚÊúÖ±·½ÏòÉÏÓÐ
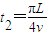
Á£×Ó´ÓQµãÔ˶¯µ½PËùÓõÄʱ¼äΪ£º
ÔòÁ£×Ó´ÓMµãÔ˶¯µ½PµãËùÓõÄʱ¼äΪ
µãÆÀ£º±¾ÌâÖ÷Òª¿¼²éÁË´øµçÁ£×ÓÔÚ»ìºÏ³¡ÖÐÔ˶¯µÄÎÊÌ⣬ҪÇóͬѧÃÇÄÜÕýÈ··ÖÎöÁ£×ÓµÄÊÜÁ¦Çé¿ö£¬ÔÙͨ¹ýÊÜÁ¦Çé¿ö·ÖÎöÁ£×ÓµÄÔ˶¯Çé¿ö£¬ÊìÁ·ÕÆÎÕÔ²ÖÜÔ˶¯¼°Æ½Å×Ô˶¯µÄ»ù±¾¹«Ê½£¬ÄѶȽϴó£®
£¨2£©Á£×ÓÓÉMµãÔ˶¯µ½PµãµÄ¹ý³ÌÖУ¬Óɶ¯Äܶ¨Àí¿ÉÒÔÇó³öµç³¡Ç¿¶È£¬¸ù¾Ý¼¸ºÎ¹ØÏµ¿ÉÒÔÇó³ö°ë¾¶£¬ÔÙ¸ù¾ÝÔ²ÖÜÔ˶¯µÄÏòÐÄÁ¦¹«Ê½¿ÉÒÔÇó³ö´Å³¡Ç¿¶È£»
£¨3£©·Ö±ðÇó³öÁ£×ÓÔڴų¡ºÍµç³¡ÖÐÔ˶¯µÄʱ¼ä£¬Ê±¼äÖ®ºÍ¼´ÊÇ×Üʱ¼ä£®
½â´ð£º
¸ù¾Ý¶Ô³ÆÐÔ¿ÉÖªv=vcos45°£¬
½âµÃ£º
£¨2£©Á£×ÓÓÉMµãÔ˶¯µ½PµãµÄ¹ý³ÌÖУ¬Óɶ¯Äܶ¨ÀíµÃ£º
½âµÃE=
ˮƽ·½ÏòµÄÎ»ÒÆÎªxOQ=vt1
ÊúÖ±·½ÏòµÄÎ»ÒÆÎª
ÓÉxQP=2Rcos45°£¬¹ÊÁ£×ÓÔÚOQ¶ÎÔ²ÖÜÔ˶¯µÄ°ë¾¶R=
Á£×ÓÔڴų¡ÖУº
ÁªÁ¢½âµÃ£º
£¨3£©ÔÚQµãʱ£¬vy=vtan45°=v
ÉèÁ£×Ó´ÓMµ½QËùÓÃʱ¼äΪt1£¬ÔÚÊúÖ±·½ÏòÉÏÓÐ
Á£×Ó´ÓQµãÔ˶¯µ½PËùÓõÄʱ¼äΪ£º
ÔòÁ£×Ó´ÓMµãÔ˶¯µ½PµãËùÓõÄʱ¼äΪ
µãÆÀ£º±¾ÌâÖ÷Òª¿¼²éÁË´øµçÁ£×ÓÔÚ»ìºÏ³¡ÖÐÔ˶¯µÄÎÊÌ⣬ҪÇóͬѧÃÇÄÜÕýÈ··ÖÎöÁ£×ÓµÄÊÜÁ¦Çé¿ö£¬ÔÙͨ¹ýÊÜÁ¦Çé¿ö·ÖÎöÁ£×ÓµÄÔ˶¯Çé¿ö£¬ÊìÁ·ÕÆÎÕÔ²ÖÜÔ˶¯¼°Æ½Å×Ô˶¯µÄ»ù±¾¹«Ê½£¬ÄѶȽϴó£®
Á·Ï°²áϵÁдð°¸
Ïà¹ØÌâÄ¿