题目内容

两个星球组成双星,它们在相互之间的万有引力作用下,绕连线上某点做周期相同的匀速圆周运动.现测得两星中心距离为R,其运动周期为T,求两星的总质量.

答案:
解析:

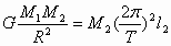
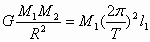
  设两星质量分别为,都绕连线上O点作周期为T的圆周运动,星球1和星球2到O的距离分别为.由万有引力定律和牛顿第二定律及几何条件可得

     ①

     ②

           ③

  联立解得

       ④


练习册系列答案
相关题目

违法和不良信息举报电话:027-86699610 举报邮箱:58377363@163.com

精英家教网