题目内容
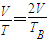
一定质量的理想气体体积V与热力学温度T的关系图象如图所示,气体在状态A时的体积为V,温度为T,在状态B时的体积为2V①求状态B时的温度;
②气体从状态A变化到状态B的过程中,对外界做功10J,吸收热量30J,求该过程中气体内能的变化量.
【答案】分析:由图知A→B为等压变化,由热力学第一定律;△U=Q+W可以求内能的变化量.
解答:解:(1)由图知A→B为等压变化:
所以TB=2T
(2)由热力学第一定律;△U=Q+W=30-10=20J
答:①状态B的温度为2T
②气体内能的变化量为20J
点评:本题考查了气体的等压变化和热力学第一定律,难度不大.
解答:解:(1)由图知A→B为等压变化:
所以TB=2T
(2)由热力学第一定律;△U=Q+W=30-10=20J
答:①状态B的温度为2T
②气体内能的变化量为20J
点评:本题考查了气体的等压变化和热力学第一定律,难度不大.
练习册系列答案
相关题目