ÌâÄ¿ÄÚÈÝ

¡°æÏ¶ðÒ»ºÅ¡±Ì½ÔÂÎÀÐÇÎªÈÆÔ¼«µØÎÀÐÇ.ÀûÓøÃÎÀÐǿɶÔÔÂÇò½øÐгÉÏñ̽²â.ÉèÎÀÐÇÔÚÈÆÔ¼«µØ¹ìµÀÉÏ×öÔÈËÙÔ²ÖÜÔ˶¯Ê±¾àÔÂÇò±íÃæµÄ¸ß¶ÈΪH£¬ÈÆÐÐÖÜÆÚΪTM£»ÔÂÇòÈÆµØÇò¹«×ªµÄÖÜÆÚΪTE£¬¹ìµÀ°ë¾¶ÎªR0£»µØÇò°ë¾¶ÎªRE£¬ÔÂÇò°ë¾¶ÎªRM.ÒÑÖª¹âËÙΪc.

£¨1£©ÈçͼËùʾ£¬µ±ÈÆÔ¼«µØ¹ìµÀµÄÆ½ÃæÓëÔÂÇòÈÆµØÇò¹«×ªµÄ¹ìµÀÆ½Ãæ´¹Ö±Ê±£¨¼´ÓëµØÐĵ½ÔÂÐĵÄÁ¬Ïß´¹Ö±Ê±£©£¬ÇóÈÆÔ¼«µØÎÀÐÇÏòµØÇòµØÃæ·¢ËÍÕÕÆ¬ÐèÒªµÄ×î¶Ìʱ¼ä£»

£¨2£©ºöÂÔµØÇòÒýÁ¦¡¢Ì«ÑôÒýÁ¦¶ÔÈÆÔÂÎÀÐǵÄÓ°Ï죬ÇóÔÂÇòÓëµØÇòµÄÖÊÁ¿Ö®±È.

 

¡¾´ð°¸¡¿

£¨1£©£¨2£©

¡¾½âÎö¡¿

ÊÔÌâ·ÖÎö£º£¨1£©¸ù¾ÝʾÒâͼµÄ¼¸ºÎ¹ØÏµ¿ÉµÃÎÀÐǵ½µØÃæµÄ×î¶Ì¾àÀëΪ£¬£¨2·Ö£©

ÎÀÐÇÏòµØÃæ·¢ËÍÕÕÆ¬ÐèÒªµÄ×î¶Ìʱ¼ä£¨2·Ö£©

ÁªÁ¢µÃ£¬£¨1·Ö£©

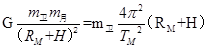
£¨2£©ÔÂÇòÈÆµØÇò×öÔ²ÖÜÔ˶¯£º£¬£¨2·Ö£©

ÎÀÐÇÈÆÔÂÇò×öÔ²ÖÜÔ˶¯£º£¬£¨2·Ö£©

ÁªÁ¢µÃ£¬£¨1·Ö£©

¿¼µã£ºÍòÓÐÒýÁ¦Ó뺽Ìì

 

Á·Ï°²áϵÁдð°¸
Ïà¹ØÌâÄ¿

Î¥·¨ºÍ²»Á¼ÐÅÏ¢¾Ù±¨µç»°£º027-86699610 ¾Ù±¨ÓÊÏ䣺58377363@163.com

¾«Ó¢¼Ò½ÌÍø