ÌâÄ¿ÄÚÈÝ
ÓÃÈçͼËùʾװÖÃÑéÖ¤¶¯Á¿Êغ㶨ÂÉ£¬ÖÊÁ¿ÎªmAµÄ½ðÊôСÇòAÓÃϸÏßÐü¹ÒÓÚOµã£¬ÖÊÁ¿ÎªmBµÄ½ðÊôСÇòB·ÅÔÚÀëµØÃæ¸ß¶ÈΪHµÄ×ÀÃæ±ßÔµ£®A¡¢BÁ½Çò°ë¾¶Ïàͬ£¬AÇòµÄÐüÏß³¤ÎªL£¬Ê¹ÐüÏßÔÚAÇòÊÍ·ÅǰÕŽô£¬ÇÒÏßÓëÊúÖ±ÏߵļнÇΪ¦Á£®AÇòÊͷźó°Ú¶¯µ½×îµÍµãʱǡÔÚˮƽ·½ÏòÉÏÓëBÕýÅö£¬ÅöײºóAÇò¼ÌÐøÔ˶¯°ÑÇáÖÊָʾÕëCÍÆÒÆµ½ÓëÊúÖ±ÏߵļнÇΪ¦Â´¦£¬BÇòÂäµ½µØÃæÉÏ£¬µØÃæÉÏÆÌÒ»¸ÇÓи´Ð´Ö½µÄ°×Ö½D£®±£³Ö¦Á½Ç¶È²»±ä£¬¶à´ÎÖØ¸´ÉÏÊöʵÑ飬°×Ö½ÉϼǼÁ˶à´ÎBÇòµÄÂäµã£®£¨1£©²âÁ¿BÇòµÄË®Æ½Î»ÒÆÊ±£¬Ó¦ÈçºÎÈ·¶¨BÇòÂäµãµÄƽ¾ùλÖÃ______£®
£¨2£©ÎªÁËÑéÖ¤Á½ÇòÅöײ¹ý³ÌÖж¯Á¿Êغ㣬³ýÓ¦²âÁ½Ð¡ÇòµÄÖÊÁ¿mA¡¢mB£¬Ð¡Çò°ë¾¶r£¬°Ú½Ç¦Á¡¢¦ÂºÍСÇòBÂäµãµÄË®Æ½Î»ÒÆsÍ⣬»¹Ó¦²â³ö______ºÍ______£¨ÓÃÌâÖÐËù¸ø×Öĸ±íʾ£©£®
£¨3£©ÓòâµÃµÄÎïÀíÁ¿±íʾÅöײºóBÇòµÄ¶¯Á¿PB¡ä=______
¡¾´ð°¸¡¿·ÖÎö£º£¨1£©Í¨¹ý¿ÉÄÜСµÄÔ²°ÑËùÓÐСÇòÂäµãȦÔÚÀïÃæ£¬Ô²ÐľÍÊÇBÇòÂäµãµÄƽ¾ùλÖã®
£¨2£©½áºÏʵÑéµÄÔÀí£¬´Ó²âÁ¿A¡¢BÁ½ÇòÅöײǰºóµÄËÙ¶ÈÈ·¶¨ÐèÒª²âÁ¿µÄÎïÀíÁ¿£®
£¨3£©Æ½Å×Ô˶¯ÔÚˮƽ·½ÏòÉÏ×öÔÈËÙÖ±ÏßÔ˶¯£¬ÔÚÊúÖ±·½ÏòÉÏ×ö×ÔÓÉÂäÌåÔ˶¯£¬¸ù¾Ý¸ß¶ÈÇó³öÔ˶¯µÄʱ¼ä£¬¸ù¾ÝË®Æ½Î»ÒÆºÍʱ¼äÇó³öBÇò±»ÅöºóµÄËÙ¶È£¬´Ó¶øÇó³öÅöײºóBÇòµÄ¶¯Á¿£®
½â´ð£º½â£º£¨1£©²âÁ¿BÇòµÄË®Æ½Î»ÒÆÊ±£¬ÐèҪȷ¶¨BÇòÂäµãµÄƽ¾ùλÖã¬Óþ¡¿ÉÄÜСµÄÔ²°ÑËùÓÐСÇòÂäµãȦÔÚÀïÃæ£¬Ô²ÐľÍÊÇBÇòÂäµãµÄƽ¾ùλÖã®
£¨2£©ÒòΪÐèÒª²âÁ¿BÇò±»ÅöºóµÄËÙ¶È£¬ËùÒÔÒª²âÁ¿×ÀÃæµÄ¸ß¶ÈH£¬´Ó¶øµÃ³öƽÅ×Ô˶¯µÄʱ¼ä£¬Çó³öBÇòƽÅ×Ô˶¯µÄ³õËÙ¶È£®ÎªÁ˲âÁ¿AÇòÅöºóµÄËÙ¶È£¬Í¨¹ýµÃÁ˳ö°ÚÏߵij¤¶ÈL£¬¸ù¾Ý¶¯Äܶ¨ÀíÇó³öÅöºóµÄËÙ¶È£®
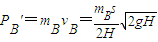
£¨3£©BÇòƽÅ×Ô˶¯µÄʱ¼ät=
£¬BÇòƽÅ×Ô˶¯µÄ³õËÙ¶È
£¬ÔòÅöײºóBÇòµÄ¶¯Á¿
£®
¹Ê´ð°¸Îª£º£¨1£©Óþ¡¿ÉÄÜСµÄÔ²°ÑËùÓÐСÇòÂäµãȦÔÚÀïÃæ£¬Ô²ÐľÍÊÇBÇòÂäµãµÄƽ¾ùλÖÃ
£¨2£©×ÀÃæ¸ß¶ÈH ºÍ °ÚÏß³¤¶ÈL
£¨3£©PB¡ä=
µãÆÀ£º½â¾ö±¾ÌâµÄ¹Ø¼üÖªµÀÑéÖ¤¶¯Á¿Êغ㶨ÂɵÄʵÑéÔÀí£¬Í¨¹ýÔÀíÈ·¶¨ÐèÒª²âÁ¿µÄÎïÀíÁ¿£®ÒÔ¼°ÖªµÀƽÅ×Ô˶¯ÔÚˮƽ·½ÏòºÍÊúÖ±·½ÏòÉϵÄÔ˶¯¹æÂÉ£®
£¨2£©½áºÏʵÑéµÄÔÀí£¬´Ó²âÁ¿A¡¢BÁ½ÇòÅöײǰºóµÄËÙ¶ÈÈ·¶¨ÐèÒª²âÁ¿µÄÎïÀíÁ¿£®
£¨3£©Æ½Å×Ô˶¯ÔÚˮƽ·½ÏòÉÏ×öÔÈËÙÖ±ÏßÔ˶¯£¬ÔÚÊúÖ±·½ÏòÉÏ×ö×ÔÓÉÂäÌåÔ˶¯£¬¸ù¾Ý¸ß¶ÈÇó³öÔ˶¯µÄʱ¼ä£¬¸ù¾ÝË®Æ½Î»ÒÆºÍʱ¼äÇó³öBÇò±»ÅöºóµÄËÙ¶È£¬´Ó¶øÇó³öÅöײºóBÇòµÄ¶¯Á¿£®
½â´ð£º½â£º£¨1£©²âÁ¿BÇòµÄË®Æ½Î»ÒÆÊ±£¬ÐèҪȷ¶¨BÇòÂäµãµÄƽ¾ùλÖã¬Óþ¡¿ÉÄÜСµÄÔ²°ÑËùÓÐСÇòÂäµãȦÔÚÀïÃæ£¬Ô²ÐľÍÊÇBÇòÂäµãµÄƽ¾ùλÖã®
£¨2£©ÒòΪÐèÒª²âÁ¿BÇò±»ÅöºóµÄËÙ¶È£¬ËùÒÔÒª²âÁ¿×ÀÃæµÄ¸ß¶ÈH£¬´Ó¶øµÃ³öƽÅ×Ô˶¯µÄʱ¼ä£¬Çó³öBÇòƽÅ×Ô˶¯µÄ³õËÙ¶È£®ÎªÁ˲âÁ¿AÇòÅöºóµÄËÙ¶È£¬Í¨¹ýµÃÁ˳ö°ÚÏߵij¤¶ÈL£¬¸ù¾Ý¶¯Äܶ¨ÀíÇó³öÅöºóµÄËÙ¶È£®
£¨3£©BÇòƽÅ×Ô˶¯µÄʱ¼ät=
¹Ê´ð°¸Îª£º£¨1£©Óþ¡¿ÉÄÜСµÄÔ²°ÑËùÓÐСÇòÂäµãȦÔÚÀïÃæ£¬Ô²ÐľÍÊÇBÇòÂäµãµÄƽ¾ùλÖÃ
£¨2£©×ÀÃæ¸ß¶ÈH ºÍ °ÚÏß³¤¶ÈL
£¨3£©PB¡ä=
µãÆÀ£º½â¾ö±¾ÌâµÄ¹Ø¼üÖªµÀÑéÖ¤¶¯Á¿Êغ㶨ÂɵÄʵÑéÔÀí£¬Í¨¹ýÔÀíÈ·¶¨ÐèÒª²âÁ¿µÄÎïÀíÁ¿£®ÒÔ¼°ÖªµÀƽÅ×Ô˶¯ÔÚˮƽ·½ÏòºÍÊúÖ±·½ÏòÉϵÄÔ˶¯¹æÂÉ£®
Á·Ï°²áϵÁдð°¸
Ïà¹ØÌâÄ¿