题目内容
在做研究平抛运动的实验时,让小球多次沿同一轨道运动,通过描点法画出小球平抛运动的轨迹.(1)为了能较准确地描绘运动轨迹,下面列出一些操作要求,将你认为正确选项的前面字母填在横线上:
A.通过调节使斜槽的末端保持水平
B.每次释放小球的位置必须不同
C.每次必须由静止释放小球
D.小球运动时不应与木板上的白纸(或方格纸)相接触
E.将球的位置记录在纸上后,取下纸,用直尺将点连成折线
F.斜槽必须光滑
(2)小球抛出后经时间 到达a位置.(用L、g表示)
【答案】分析:(1)为了确保在实验中让小球在固定斜槽滚下后,做平抛运动,实验时必须确保抛出速度方向是水平的,同时固定的斜槽要在竖直面;因此明确实验原理,了解实验的注意事项,即可正确解答本题;
(2)根据平抛运动水平和竖直方向的特点,尤其是熟练应用匀变速直线运动的规律和推论进行有关数据处理和问题的解答.
解答:解:(1)A、只有斜槽的末端保持水平,小球才具有水平初速度,其运动才是平抛运动,故A正确;
B、为了使小球每次做平抛运动的轨迹相同,要让小球有相同的初速度,因此要求每次由静止从同一位置释放释放小球,故B错误;
C、根据B选项的论述可知,C正确;
D、如果小球在运动过程中与木板上的白纸相接触就会改变它的运动轨迹,使其不是平抛运动,故D正确;
E、球的位置记录在纸上后,为减小实验误差,将描出的点用平滑的曲线连接起来,故E错误;
F、该实验要求小球每次抛出的初速度要相同而且水平,因此要求小球从同一位置静止释放,至于是否光滑没有影响,故F错误.
故选ACD.
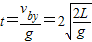
(2)a、b、c三者之间水平距离相同,因此时间相同,故在竖直方向上有:
△h=2L=gT2
所以解得:
小球在b点的竖直方向的速度为:
从开始平抛到b点经历的时间为:

所以小球从抛出到a点是时间为:

故答案为:
.
点评:对于研究平抛运动的实验不要只是从理论上理解,一定动手实验才能体会每步操作的具体含义,对于该实验关键是理解水平和竖直方向的运动特点,熟练应用匀变速直线运动规律解题.
(2)根据平抛运动水平和竖直方向的特点,尤其是熟练应用匀变速直线运动的规律和推论进行有关数据处理和问题的解答.
解答:解:(1)A、只有斜槽的末端保持水平,小球才具有水平初速度,其运动才是平抛运动,故A正确;
B、为了使小球每次做平抛运动的轨迹相同,要让小球有相同的初速度,因此要求每次由静止从同一位置释放释放小球,故B错误;
C、根据B选项的论述可知,C正确;
D、如果小球在运动过程中与木板上的白纸相接触就会改变它的运动轨迹,使其不是平抛运动,故D正确;
E、球的位置记录在纸上后,为减小实验误差,将描出的点用平滑的曲线连接起来,故E错误;
F、该实验要求小球每次抛出的初速度要相同而且水平,因此要求小球从同一位置静止释放,至于是否光滑没有影响,故F错误.
故选ACD.
(2)a、b、c三者之间水平距离相同,因此时间相同,故在竖直方向上有:
△h=2L=gT2
所以解得:
小球在b点的竖直方向的速度为:
从开始平抛到b点经历的时间为:
所以小球从抛出到a点是时间为:
故答案为:
点评:对于研究平抛运动的实验不要只是从理论上理解,一定动手实验才能体会每步操作的具体含义,对于该实验关键是理解水平和竖直方向的运动特点,熟练应用匀变速直线运动规律解题.
练习册系列答案
相关题目