题目内容
神舟六号载人航天飞船经过115小时32分钟的太空飞行,绕地球飞行77圈,飞船返回舱终于在2005年10月17日凌晨4时33分成功着陆,航天员费俊龙、聂海胜安全返回.已知万有引力常量G,地球表面的重力加速度g,地球的半径R.神舟六号飞船太空飞行近似为圆周运动.则下列论述错误的是( )A.可以计算神舟六号飞船绕地球的太空飞行离地球表面的高度h
B.可以计算神舟六号飞船在绕地球的太空飞行的加速度
C.飞船返回舱打开减速伞下降的过程中,飞船中的宇航员处于超重状态
D.神舟六号飞船绕地球的太空飞行速度比月球绕地球运行的速度要小
【答案】分析:根据题意,由时间可求出“神舟六号”飞船的飞行周期,飞船围绕地球做圆周运动,由地球的万有引力提供向心力,由牛顿第二定律可求出飞船绕地球的太空飞行离地球表面的高度h和加速度.根据加速度的方向判断飞船中的宇航员处于超重还是失重状态.
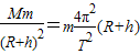
解答:解:A、根据题意,“神舟六号”飞船的飞行周期T=
≈115.53h≈4.81天,飞船围绕地球做圆周运动,由地球的万有引力提供向心力,则有
G
,得 T=2π
=2
,则可求出飞船绕地球的太空飞行离地球表面的高度h.故A正确.
B、神舟六号飞船在绕地球的太空飞行的加速度为a=
,由上分析可知,可以求出加速度a.故B正确.
C、飞船在减速下降时,其加速度向上,处于超重状态,故C正确.
D、由于飞船的周期小于月球的周期,那么环绕速度大于月球的速度,故D错误;
本题选错误的,故选D
点评:该题考查万有引力作用下的天体运动规律,这是近年高考的热点之一.
解答:解:A、根据题意,“神舟六号”飞船的飞行周期T=
G
B、神舟六号飞船在绕地球的太空飞行的加速度为a=
C、飞船在减速下降时,其加速度向上,处于超重状态,故C正确.
D、由于飞船的周期小于月球的周期,那么环绕速度大于月球的速度,故D错误;
本题选错误的,故选D
点评:该题考查万有引力作用下的天体运动规律,这是近年高考的热点之一.
练习册系列答案
相关题目
神舟六号载人航天飞船经过115小时32分钟的太空飞行,绕地球飞行77圈,飞船返回舱终于在2005年10月17日凌晨4时33分成功着陆,航天员费俊龙、聂海胜安全返回。已知万有引力常量G,地球表面的重力加速度g,地球的半径R。神舟六号飞船太空飞行近似为圆周运动。则下列论述正确的是
| A.可以计算神舟六号飞船绕地球的太空飞行离地球表面的高度h |
| B.可以计算神舟六号飞船绕地球的太空飞行的加速度 |
| C.飞船返回舱打开减速伞下降的过程中,飞船中的宇航员处于失重状态 |
| D.神舟六号飞船绕地球的太空飞行速度比月球绕地球运行的速度要小 |