题目内容
在做研究平抛运动的实验时,让小球多次沿同一轨道运动,通过描点法画出小球平抛运动的轨迹.(1)为了能较准确地描绘运动轨迹,下面列出一些操作要求,将你认为正确选项的前面字母填在横线上: .
A.通过调节使斜槽的末端保持水平
B.每次释放小球的位置必须不同
C.每次必须由静止释放小球
D.记录小球位置用的凹槽每次必须严格地等距离下降
E..小球运动时不应与木板上的白纸(或方格纸)相接触
F.将球的位置记录在纸上后,取下纸,用直尺将点连成折线
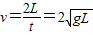
(2)若用一张印有小方格的纸记录轨迹,小方格的边长为L,小球在平抛运动途中的几个位置如图中的a、b、c、d所示,则小球平抛的初速度的计算式为v= (用L、g表示).
(3)小球经过b点时其竖直分速度大小为vby= (用L、g表示).
【答案】分析:正确解答本题需要掌握:为了确保在实验中让小球在固定斜槽滚下后,做平抛运动,实验时必须确保抛出速度方向是水平的,同时固定的斜槽要在竖直面;根据平抛运动水平和竖直方向的特点进行有关数据处理和问题的解答.
解答:解:(1)A、只有斜槽的末端保持水平,小球才具有水平初速度,其运动才是平抛运动,故A正确;
B、为了保证轨迹相同,每次由静止在同一位置释放小球,故B错误;
C、每次由静止释放小球,是为了使小球有相同的初速度,故C正确;
D、记录小球位置用的凹槽,不一定每次都严格的等距离下降,故D错误;
E、如果小球在运动过程中与木板上的白纸相接触就会改变它的运动轨迹,使其不是平抛运动,故E正确;
F、将球的位置记录在纸上后,取下纸,用平滑曲线将各点相连,故F错误;
故选ACE.
(2)竖直方向:自由落体运动,因时间相等,由△h=gt2可得:
水平方向:匀速运动,则有:x=2L=vt,所以解得:
.
故答案为:2
.
(3)根据匀变速直线运动中,时间中点的瞬时速度等于该过程的平均速度,在b点竖直方向的速度为:
.
故答案为:
.
点评:对于研究平抛运动的实验不要只是从理论上理解,一定动手实验才能体会每步操作的具体含义,对于该实验关键是理解水平和竖直方向的运动特点.
解答:解:(1)A、只有斜槽的末端保持水平,小球才具有水平初速度,其运动才是平抛运动,故A正确;
B、为了保证轨迹相同,每次由静止在同一位置释放小球,故B错误;
C、每次由静止释放小球,是为了使小球有相同的初速度,故C正确;
D、记录小球位置用的凹槽,不一定每次都严格的等距离下降,故D错误;
E、如果小球在运动过程中与木板上的白纸相接触就会改变它的运动轨迹,使其不是平抛运动,故E正确;
F、将球的位置记录在纸上后,取下纸,用平滑曲线将各点相连,故F错误;
故选ACE.
(2)竖直方向:自由落体运动,因时间相等,由△h=gt2可得:
水平方向:匀速运动,则有:x=2L=vt,所以解得:
故答案为:2
(3)根据匀变速直线运动中,时间中点的瞬时速度等于该过程的平均速度,在b点竖直方向的速度为:
故答案为:
点评:对于研究平抛运动的实验不要只是从理论上理解,一定动手实验才能体会每步操作的具体含义,对于该实验关键是理解水平和竖直方向的运动特点.
练习册系列答案
相关题目