题目内容

一质量为m的铅弹,以水平速度v射入光滑水平面上的铅块,铅块质量为M(M=11m),铅弹击中铅块后与铅块粘在一起.如果铅块固定,它们可升高11℃,若铅块可以自由移动,则它们的温度升高多少?

答案:
解析:

  解:铅块固定时,根据能量守恒定律,有:

  cmΔt=,    ①

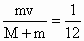
  若铅块可自由移动,则根据动量守恒定律,有:

  mv=(M+m)

  碰后的速度v,

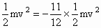
  碰撞前后的动能变化量

  Δ(M+m)

  则此时升高温度:

  将①代入上式得=10.08℃.

  即铅块能自由移动时,它们的温度升高10.08℃.


练习册系列答案
相关题目

违法和不良信息举报电话:027-86699610 举报邮箱:58377363@163.com

精英家教网