题目内容
如图所示,A、B两球质量相等,且由轻质细杆连着,绕O点在光滑的水平面上以相同的角速度做匀速圆周运动,OB=BA,则( )A.两段杆的拉力之比:TAB:TOB=2:1
B.两段杆的拉力之比:TAB:TOB=3:2
C.两段杆的拉力之比:TAB:TOB=1:2
D.两段杆的拉力之比:TAB:TOB=2:3
【答案】分析:A、B两球绕O点在光滑的水平面上以相同的角速度做匀速圆周运动,A球靠AB杆的拉力提供向心力,B球靠OB杆和AB杆的拉力的合力提供向心力,根据牛顿第二定律求出两段杆子的拉力之比.
解答:解:对A球有:
.
对B球有:
.
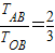
联立两式解得:
.故D正确,A、B、C错误.
故选D.
点评:解决本题的关键搞清向心力的来源,运用牛顿第二定律进行求解.
解答:解:对A球有:
对B球有:
联立两式解得:
故选D.
点评:解决本题的关键搞清向心力的来源,运用牛顿第二定律进行求解.
练习册系列答案
相关题目