题目内容
某同学用图所示的实验装置研究小车在斜面上的运动.实验步骤如下:a.安装好实验器材.
b.接通电源后,让拖着纸带的小车沿平板斜面向下运动,重复几次.选出一条点迹比较清晰的纸带,舍去开始密集的点迹,从便于测量的点开始,每两个打点间隔取一个计数点,如图中0、1、2…6点所示.
c.测量1、2、3…6计数点到0计数点的距 离,分别记作:S1、S2、S3…S6.
d.通过测量和计算,该同学判断出小车沿平板做匀加速直线运动.
e.分别计算出S1、S2、S3…S6与对应时间的比值
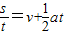
f.以
结合上述实验步骤,请你完成下列任务:
(1)实验中,除打点计时器(含纸带、复写纸)、小车、平板、铁架台、导线及开关外,在下面的仪器和器材中,必须使用的有______和______.(填选项代号)
A.电压合适的50Hz交流电源 B.电压可调的直流电源
C.刻度尺 D.秒表 E.天平 F.重锤
(2)将最小刻度为1mm的刻度尺的0刻线与0计数点对齐,0、1、2、5计数点所在位置如下图所示,则S2=______cm.
(3)该同学在右图中已标出1、3、4、6计数点对应
的坐标,则与2、5两个计数点对应的坐标分别为______、______,并画出
(4)根据
【答案】分析:(1)根据实验原理和实验目的可知道具体的实验器材.
(2)注意刻度尺的使用和读数,读数时注意要进行估读.
(3)画出图象,根据第2和第5个计数点所对应的时间即可找到其所对应的坐标.
(4)写出
-t图线的函数关系式,明确纵轴截距以及斜率的含义,即可正确解答本题.
解答:解:(1)打点计时器使用的是交流电源,因此本实验中缺少电源,同时实验中需要测量小车前进的位移,因此需要刻度尺.
故答案为:A,C.
(2)根据图可读出刻度尺的读数为:2.98cm.注意要进行估读.
故答案为:(2.97-2.99).
(3)利用描点法画出的
-t图如下所示:

根据第2个计数点时间为8×10-2s,第5个计数点时间为20×10-2s,结合图象可知与2、5两个计数点对应的坐标分别为(8,37.1)、(20,65.9).
故答案为:(8,37.1)、(20,65.9).
(4)根据匀变速直线运动的位移公式:
,可得:
,所以在
-t图象中纵轴截距表示初速度的大小,斜率
,由此可得:

故答案为:0.16-0.20,4.50-5.10.
点评:本实验考查知识点比较全面,尤其是在数据处理上比较新颖,对于图象问题,只要写出两坐标轴的函数关系式,就可正确解答.
(2)注意刻度尺的使用和读数,读数时注意要进行估读.
(3)画出图象,根据第2和第5个计数点所对应的时间即可找到其所对应的坐标.
(4)写出
解答:解:(1)打点计时器使用的是交流电源,因此本实验中缺少电源,同时实验中需要测量小车前进的位移,因此需要刻度尺.
故答案为:A,C.
(2)根据图可读出刻度尺的读数为:2.98cm.注意要进行估读.
故答案为:(2.97-2.99).
(3)利用描点法画出的
根据第2个计数点时间为8×10-2s,第5个计数点时间为20×10-2s,结合图象可知与2、5两个计数点对应的坐标分别为(8,37.1)、(20,65.9).
故答案为:(8,37.1)、(20,65.9).
(4)根据匀变速直线运动的位移公式:
故答案为:0.16-0.20,4.50-5.10.
点评:本实验考查知识点比较全面,尤其是在数据处理上比较新颖,对于图象问题,只要写出两坐标轴的函数关系式,就可正确解答.
练习册系列答案
相关题目