题目内容

A、B、C三点在同一直线上,一个物体自A点从静止开始做匀加速直线运动,经过B点的速度为v,到C点的速度为2v,则AB与BC两段距离大小之比是

A.1:4   B.1:3     C. 1:2    D.1:1

 

【答案】

B

【解析】

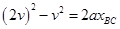
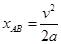
试题分析:对AB过程,由匀变速直线运动的速度与位移的关系式可得,,解得

对BC过程,由匀变速直线运动的速度与位移的关系式可得,,解得 ,所以AB与BC的位移大小之比为1:3.故选B.

考点:本题考查的是对匀变速直线运动的速度与位移的关系式的直接应用.

 

练习册系列答案
相关题目

违法和不良信息举报电话:027-86699610 举报邮箱:58377363@163.com

精英家教网