题目内容

如图所示,绝缘轨道平面与水平面垂直,倾斜轨道部分摩擦因数μ=0.2,倾斜轨道与水平面夹角=37°,倾斜轨道足够长与半径R=0.5 m的半圆形光滑轨道圆滑连接,整个轨道处在水平向左的匀强电场中,电场强度E=10 V/m,一带负电的小物块质量为0.3 kg所带电量为0.4 C,让小物块在倾斜轨道上从与半圆轨道最高点C点等高的A点由静止释放.(重力加速度g=10 m/s2,sin37°=,cos37°=,此题结果可用分数表示)

求:(1)小物块在半圆轨道上运动过场中的最大动能?

(2)使小物块恰好通过半圆轨道最高点C处,将其在倾斜轨道上由静止释放时距水平面的高度H?

(3)在(2)中小物块通过C点时,电场立即消失,小物块打在倾斜轨道上的位置距地面的高度h?

答案:
解析:

  解:(1)令小物块动能最大的位置为D点,分析得:

  当电场力与重力的合力反向延长线过半圆轨道圆心时,

  小物块动能最大,如图有

  ,即=53°;1分

  因为mgcos=Eqsin;1分

  所以小物块与倾斜轨道间无摩擦

  AD由动能定理:

  ;1分

  代入数据解得:;1分

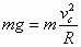
  (2)小物块恰好通过最高处C点,有

  ①;1分

  从释放点到C点由动能定理

  ②;2分

  ①②式联立解得:;1分

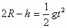
  (3)小物块离开C点后做平抛运动

  ;1分

  ;1分

  整理有:;1分

  解得:(舍);1分


练习册系列答案
相关题目

违法和不良信息举报电话:027-86699610 举报邮箱:58377363@163.com

精英家教网