题目内容
(1)推力作用在瓶子上的时间最长不得超过多少?
(2)推力作用在瓶子上的距离最小为多少.
【答案】分析:(1)受力分析后,先根据牛顿第二定律求解出瓶子加速和减速时的加速度,然后根据运动学公式结合几何关系列式求解出瓶子恰好滑动到C点时推力的作用时间;
(2)瓶子恰好滑动到B点,推力的作用距离最短;根据运动学公式结合几何关系列式求解即可.
解答:解:(1)要想获得游戏成功,瓶滑到C点速度正好为0,力作用时间最长,设最长作用时间为t1,有力作用时瓶的加速度为a1,t1时刻瓶的速度为v,力停止后加速度为a2,由牛顿第二定律得:
F-μmg=ma1 ①
μmg=ma2 ②
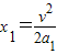
加速运动过程中的位移
③
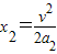
减速运动过程中的位移
④
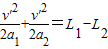
位移关系满足:
x1+x2=L1 ⑤
又:v=a1t1 ⑥
由以上各式解得:
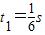
即推力作用在瓶子上的时间最长不得超过
s.
(2)要想游戏获得成功,瓶滑到B 点速度正好为零,力作用距离最小,设最小距离为d,则:
⑦
v'2=2a1d ⑧
联立解得:d=0.4m
即推力作用在瓶子上的距离最小为0.4m.
点评:本题关键找出临界情况,求出加速度后,运用运动学公式结合几何关系列式求解.
(2)瓶子恰好滑动到B点,推力的作用距离最短;根据运动学公式结合几何关系列式求解即可.
解答:解:(1)要想获得游戏成功,瓶滑到C点速度正好为0,力作用时间最长,设最长作用时间为t1,有力作用时瓶的加速度为a1,t1时刻瓶的速度为v,力停止后加速度为a2,由牛顿第二定律得:
F-μmg=ma1 ①
μmg=ma2 ②
加速运动过程中的位移
减速运动过程中的位移
位移关系满足:
x1+x2=L1 ⑤
又:v=a1t1 ⑥
由以上各式解得:
即推力作用在瓶子上的时间最长不得超过
(2)要想游戏获得成功,瓶滑到B 点速度正好为零,力作用距离最小,设最小距离为d,则:
v'2=2a1d ⑧
联立解得:d=0.4m
即推力作用在瓶子上的距离最小为0.4m.
点评:本题关键找出临界情况,求出加速度后,运用运动学公式结合几何关系列式求解.
练习册系列答案
相关题目