题目内容
(1)求打在荧光屏O点的电子速度的大小.
(2)推导出电子的比荷的表达式.
【答案】分析:当电子受到电场力与洛伦兹力平衡时,做匀速直线运动,因此由电压、磁感应强度可求出运动速度.电子在电场中做类平抛运动,将运动分解成沿电场强度方向与垂直电场强度方向,然后由运动学公式求解.电子离开电场后,做匀速直线运动,从而可以求出偏转距离.
解答:(1)当电子受到的电场力与洛沦兹力平衡时,电子做匀速直线运动,亮点重新回复到中心O点,设电子的速度为v,则 evB=eE
得
即
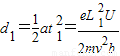
(2)当极板间仅有偏转电场 时,电子以速度v进入后,竖直方向作匀加速运动,加速度为
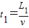
电子在水平方向作匀速运动,在电场内的运动时间为
这样,电子在电场中,竖直向上偏转的距离为
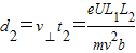
离开电场时竖直向上的分速度为
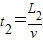
电子离开电场后做匀速直线运动,经t2时间到达荧光屏
t2时间内向上运动的距离为
这样,电子向上的总偏转距离为
可解得
.
点评:考查平抛运动处理规律:将运动分解成相互垂直的两方向运动,因此将一个复杂的曲线运动分解成两个简单的直线运动,并用运动学公式来求解.
解答:(1)当电子受到的电场力与洛沦兹力平衡时,电子做匀速直线运动,亮点重新回复到中心O点,设电子的速度为v,则 evB=eE
得
即
(2)当极板间仅有偏转电场 时,电子以速度v进入后,竖直方向作匀加速运动,加速度为
电子在水平方向作匀速运动,在电场内的运动时间为
这样,电子在电场中,竖直向上偏转的距离为
离开电场时竖直向上的分速度为
电子离开电场后做匀速直线运动,经t2时间到达荧光屏
t2时间内向上运动的距离为
这样,电子向上的总偏转距离为
可解得
点评:考查平抛运动处理规律:将运动分解成相互垂直的两方向运动,因此将一个复杂的曲线运动分解成两个简单的直线运动,并用运动学公式来求解.
练习册系列答案
相关题目