题目内容

电动势为9V, 内电阻为0.5Ω的电源通过较长的导线给四个都标有"8V, 4W"的小灯泡供电, 如图所示. 当K1闭合时, 前两个小灯泡L1, L2恰好正常发光, 再合上K2, 此时电源总功率为_________W, 电源输出功率为________W;输电线上损失功率为_________W; 每个灯泡的实际功率为___________W.(保留2位小数)

答案:16.2;14.58;1.62;3.24
解析:

解:

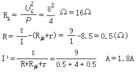
I=2I1=2×0.5A=1A

I=,

设输电线电阻为R,则

P总=Iε=1.8×9W=16.2W

P出=I2(R+R2)=1.82×4.5=14.58W

P线=I2R=1.82×0.5=1.62W

VL=ε-I(R+r)=9-1.8(0.5+0.5)=7.2(V)


练习册系列答案
相关题目
(1)在《用电流表和电压表测定电池的电动势和内阻》实验中,某同学根据测得的数据作出了如图所示的I-U图线,由图线可以得到电源电动势E=
1.5
1.5
V,内电阻r=
2.14
2.14
Ω.
(2)在欧姆表测电阻的实验中,用“×10”挡测量一个电阻的阻值,发现表针偏转角度太大(指针过于靠右),则可以断定:这个电阻阻值
较小
较小
(填“较小”或“较大”),为了把电阻测得更准确一些,应换用
“×1档”
“×1档”
(填“×1挡”或“×100挡”),调零后重新测量.
(3)某同学在做“描绘小电珠的伏安特性曲线”的实验中得到如下一组U和I的数据:
  编号 1 2 3 4 5 6 7 8
U(伏) 0 0.50 1.00 1.50 2.00 2.20 2.60 3.00
I(安) 0 0.050 0.100 0.150 0.180 0.190 0.200 0.205
灯泡发光情况 不亮       微亮    逐渐变亮      正常发光
①从上表数据中可以看出,当小灯泡的功率逐渐增大时,灯丝电阻的变化情况是
先不变再增大
先不变再增大

②请在实物图中用铅笔补全其中的连线(电压表、电流表左接线柱为正,右接线柱为负)

(4)有一待测的电阻R,其阻值约在40~50Ω之间,实验室准备用来测量该电阻值的实验器材有:
电压表V(量程O~10V,内电阻约20kΩ);
电流表A(量程O~300mA,内电阻约4Ω);
滑动变阻器R(最大阻值为20Ω,额定电流为1A)
直流电源E(电动势为9V,内电阻约为0.5Ω);
开关;此外还有若干根供连线用的导线.
实验要求电表读数从零开始变化,并多次测出几组电流、电压值,以便画出电流一电压的关系图线.为了实验能正常进行,减少测量误差,还要求滑动变阻器便于调节.请在方框内画出实验电路.

违法和不良信息举报电话:027-86699610 举报邮箱:58377363@163.com

精英家教网