题目内容
已知O、A、B、C为同一直线上的四点,AB间的距离为22m,BC间的距离为26m,一物体自O点由静止出发,沿此直线做匀加速运动,依次经过A、B、C三点,已知物体通过AB段与BC段所用的时间相等且为2s。求O与A的距离。
![]()
解析
练习册系列答案
相关题目
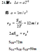
题目内容
已知O、A、B、C为同一直线上的四点,AB间的距离为22m,BC间的距离为26m,一物体自O点由静止出发,沿此直线做匀加速运动,依次经过A、B、C三点,已知物体通过AB段与BC段所用的时间相等且为2s。求O与A的距离。
![]()
解析