ÌâÄ¿ÄÚÈÝ

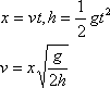
ÈçͼËùʾ£¬OµãΪ¹Ì¶¨×ªÖᣬ°ÑÒ»¸ö³¤¶ÈΪlµÄϸÉþÉ϶˹̶¨ÔÚOµã£¬Ï¸Éþ϶Ëϵһ¸öÖÊÁ¿ÎªmµÄС°ÚÇò£¬µ±Ð¡°ÚÇò´¦ÓÚ¾²Ö¹×´Ì¬Ê±Ç¡ºÃÓëÆ½Ì¨µÄÓҶ˵ãBµã½Ó´¥£¬µ«ÎÞѹÁ¦£®Ò»¸öÖÊÁ¿ÎªMµÄС¸ÖÇòÑØ×Ź⻬µÄƽ̨×Ô×óÏòÓÒÔ˶¯µ½BµãʱÓë¾²Ö¹µÄС°ÚÇòm·¢ÉúÕýÅö£¬Åöײºó°ÚÇòÔÚÉþµÄÔ¼ÊøÏÂ×÷Ô²ÖÜÔ˶¯£¬ÇÒÇ¡ºÃÄܹ»¾­¹ý×î¸ßµãA£¬¶øÐ¡¸ÖÇòM×öƽÅ×Ô˶¯ÂäÔÚˮƽµØÃæÉϵÄCµã£®²âµÃB¡¢CÁ½µã¼äµÄˮƽ¾àÀëDC£½x£¬Æ½Ì¨µÄ¸ß¶ÈΪh£¬²»¼Æ¿ÕÆø×èÁ¦£¬±¾µØµÄÖØÁ¦¼ÓËÙ¶ÈΪg£¬Çë¼ÆË㣺

(1)ÅöײºóС¸ÖÇòM×öƽÅ×Ô˶¯µÄ³õËÙ¶È´óС£»

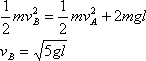
(2)С°ÑÇòm¾­¹ý×î¸ßµãAʱµÄ¶¯ÄÜ£»

(3)ÅöײǰС¸ÖÇòMÔÚÆ½Ì¨ÉÏÏòÓÒÔ˶¯µÄËÙ¶È´óС£®

´ð°¸£º
½âÎö£º

¡¡¡¡(1)ÉèM×öƽÅ×Ô˶¯µÄ³õËÙ¶ÈÊÇv£¬

¡¡¡¡

¡¡¡¡(2)°ÚÇòm¾­×î¸ßµãAʱֻÊÜÖØÁ¦×÷Óã¬

¡¡¡¡

¡¡¡¡(3)ÅöºóС°ÚÇòm×÷Ô²ÖÜÔ˶¯Ê±»úеÄÜÊØºã£¬

¡¡¡¡

¡¡¡¡ÉèÅöǰMµÄÔ˶¯ËÙ¶ÈÊÇv0£¬MÓëmÅöײʱϵͳµÄ¶¯Á¿Êغã

¡¡¡¡


Á·Ï°²áϵÁдð°¸
Ïà¹ØÌâÄ¿

Î¥·¨ºÍ²»Á¼ÐÅÏ¢¾Ù±¨µç»°£º027-86699610 ¾Ù±¨ÓÊÏ䣺58377363@163.com

¾«Ó¢¼Ò½ÌÍø