ÌâÄ¿ÄÚÈÝ
ÒÑÖªµØÇò°ë¾¶ÎªR£¬µØÇò±íÃæÖØÁ¦¼ÓËÙ¶ÈΪg£¬ÒýÁ¦³£Á¿ÎªG£¬²»¿¼ÂǵØÇò×ÔתµÄÓ°Ï죮£¨1£©ÍƵ¼³öµÚÒ»ÓîÖæËÙ¶Èv1µÄ±í´ïʽ£»
£¨2£©ÎÒ¹ú×ÔÐÐÑÐÖÆµÄ¡°ÉñÖÛÆßºÅ¡±ÔØÈË·É´¬ÓÚ2008Äê9ÔÂ25ÈÕ´ÓÖйú¾ÆÈªÎÀÐÇ·¢ÉäÖÐÐÄÔØÈ˺½Ìì·¢É䳡Óó¤Õ÷¶þºÅF»ð¼ý·¢ÉäÉý¿Õ£®¼ÙÉè¡°ÉñÖÛÆßºÅ¡±·É´¬½øÈëÔ¤¶¨¹ìµÀºóÈÆµØÇò×öÔÈËÙÔ²ÖÜÔ˶¯£¬ÔËÐеÄÖÜÆÚÊÇT£¬½áºÏÌâ¸ÉÖÐËù¸øµÄÒÑÖªÁ¿£¬Çó·É´¬ÈƵØÇò·ÉÐÐʱÀëµØÃæµÄ¸ß¶Èh£®
¡¾´ð°¸¡¿·ÖÎö£ºÑо¿ÎÀÐÇÈÆµØÇò×öÔÈËÙÔ²ÖÜÔ˶¯£¬¸ù¾ÝÍòÓÐÒýÁ¦ÌṩÏòÐÄÁ¦
£¬ÁгöµÈʽ¼´¿ÉÇó³öËùÇóÎïÀíÁ¿£®
½â´ð£º½â£º£¨1£©ÉèÎÀÐǵÄÖÊÁ¿Îªm£¬µØÇòµÄÖÊÁ¿ÎªM
ÔÚµØÇò±íÃæ¸½½üÂú×ã
ÎÀÐÇ×öÔ²ÖÜÔ˶¯µÄÏòÐÄÁ¦ÓÉËüÊܵ½µÄÍòÓÐÒýÁ¦Ìṩ
½âµÃ£ºµÚÒ»ÓîÖæËÙ¶Èv1=
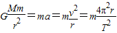
£¨2£©Éè·É´¬µÄÖÊÁ¿Îªm¡äÔò

½âµÃ£ºr=
ÓÖÒòΪ
ËùÒÔr=
ËùÒÔ·É´¬ÈƵØÇò·ÉÐÐʱÀëµØÃæµÄ¸ß¶Èh=
-R
´ð£º£¨1£©µÚÒ»ÓîÖæËÙ¶Èv1µÄ±í´ïʽΪv1=
£»
£¨2£©·É´¬ÈƵØÇò·ÉÐÐʱÀëµØÃæµÄ¸ß¶ÈhΪ
-R£®
µãÆÀ£º½â¾ö±¾ÌâµÄ¹Ø¼üÊÇÕÆÎÕÍòÓÐÒýÁ¦ÌṩÏòÐÄÁ¦£¬¼´
£¬ÄѶȲ»´ó£¬ÊôÓÚ»ù´¡Ì⣮
½â´ð£º½â£º£¨1£©ÉèÎÀÐǵÄÖÊÁ¿Îªm£¬µØÇòµÄÖÊÁ¿ÎªM
ÔÚµØÇò±íÃæ¸½½üÂú×ã
ÎÀÐÇ×öÔ²ÖÜÔ˶¯µÄÏòÐÄÁ¦ÓÉËüÊܵ½µÄÍòÓÐÒýÁ¦Ìṩ
½âµÃ£ºµÚÒ»ÓîÖæËÙ¶Èv1=
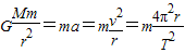
£¨2£©Éè·É´¬µÄÖÊÁ¿Îªm¡äÔò
½âµÃ£ºr=
ÓÖÒòΪ
ËùÒÔr=
ËùÒÔ·É´¬ÈƵØÇò·ÉÐÐʱÀëµØÃæµÄ¸ß¶Èh=
´ð£º£¨1£©µÚÒ»ÓîÖæËÙ¶Èv1µÄ±í´ïʽΪv1=
£¨2£©·É´¬ÈƵØÇò·ÉÐÐʱÀëµØÃæµÄ¸ß¶ÈhΪ
µãÆÀ£º½â¾ö±¾ÌâµÄ¹Ø¼üÊÇÕÆÎÕÍòÓÐÒýÁ¦ÌṩÏòÐÄÁ¦£¬¼´
Á·Ï°²áϵÁдð°¸
Ïà¹ØÌâÄ¿