题目内容
如图所示,传送带的水平部分长为L,传动速率为v,在其左端无初速释放一小木块,若木块与传送带间的动摩擦因数为μ,则木块从左端运动到右端的时间可能是 或 .
【答案】分析:物块在传送带上可能先做匀加速直线运动,再做匀速直线运动,可能一直做匀加速直线运动.根据牛顿第二定律求出加速度,结合运动学公式求出木块运行的时间.
解答:解:①若木块先做匀加速直线运动,再做匀速直线运动.
则运动的加速度a=
.匀加速直线运动的时间
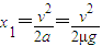
.匀加速直线运动的位移
.则匀速直线运动的位移
,匀速直线运动的时间
.则木块从左端运动到右端的时间t=
=
.
②若木块一直做匀加速直线运动.
根据
得,t=
.
故答案为:
,
.
点评:关于传送带模型,关键是理清物体的运动情况,结合牛顿第二定律和运动学知识求解.
解答:解:①若木块先做匀加速直线运动,再做匀速直线运动.
则运动的加速度a=
②若木块一直做匀加速直线运动.
根据
故答案为:
点评:关于传送带模型,关键是理清物体的运动情况,结合牛顿第二定律和运动学知识求解.
练习册系列答案
相关题目
| A、在AC段为水平向左的滑动摩擦力 | B、在AC段为水平向右的滑动摩擦力 | C、在CB段水不受摩擦力 | D、在CB段受水平向右的静摩擦力 |