题目内容
如图所示的装置,U1是加速电压,紧靠其右侧的是两块彼此平行的水平金属板.板长为L,两板间距离为d,一个质量为m、带电量为-q的粒子,经加速电压加速后沿金属板中心线水平射人两板中,若两水平金属板间加一电压U2,当上板为正时,带电粒子恰好能沿两板中心线射出;当下板为正时,带电粒子则射到下板上距板的左端(1)
(2)为使带电粒子经U1加速后,沿中心线射入两金属板,并能够从两板之间射出,两水平金属板所加电压U2应满足什么条件?
【答案】分析:根据受力平衡以及类平抛运动解出粒子在偏转电场中的加速度,根据运动学表达式写出粒子打不到极板上的条件,列出方程组解题.
解答:解:(1)设粒子被加速后的速度为v,当两板间加上电压U2
如上板为正时,
=mg
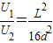
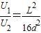
U2=
如下板为正时,a=
=2g
=
?2g(
)2
得
=
qU1=
mv
∴U1=
则
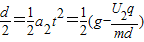
(2)当上板加最大电压U2时,粒子斜向上偏转刚好穿出:t=
=
=
∴U2=
=
若上板加上最小正电压时,粒子向下偏转恰穿出a2=
…1′
?(
)2
若下板加上正电压时,粒子只能向下偏转


=
可见下板不能加正电压
∴
答:(1)
;(2)两水平金属板所加电压U2应满足
.
点评:注意粒子打不到极板上有两种可能,一种是向上偏转,另一种是向下偏转,考虑问题要全面.
解答:解:(1)设粒子被加速后的速度为v,当两板间加上电压U2
如上板为正时,
U2=
如下板为正时,a=
得
qU1=
∴U1=
则
(2)当上板加最大电压U2时,粒子斜向上偏转刚好穿出:t=
∴U2=
若上板加上最小正电压时,粒子向下偏转恰穿出a2=
若下板加上正电压时,粒子只能向下偏转
∴
答:(1)
点评:注意粒子打不到极板上有两种可能,一种是向上偏转,另一种是向下偏转,考虑问题要全面.
练习册系列答案
相关题目