题目内容
小球由地面竖直上抛,上升的最大高度为H,设所受阻力大小恒定,地面为零势能面.在上升至离地高度h处,小球的动能是势能的两倍,在下落至离高度h处,小球的势能是动能的两倍,则h等于( )A.
B.
C.
D.
【答案】分析:小球上升和下降过程反复应用动能定理,并且在h处表达动能和势能的数量关系,联立方程组问题可解.
解答:解:设小球受到的阻力大小恒为f,小球上升至最高点过程由动能定理得:
…①;
小球上升至离地高度h处时速度设为v1,由动能定理得:
…②,
又
…③;
小球上升至最高点后又下降至离地高度h处时速度设为v2,此过程由动能定理得:
…④,
又2×
…⑤;
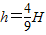
以上各式联立解得
,
故选D.
点评:在应用动能定理解题时,各个力的做功分析非常重要,本题中上升和下降过程中阻力始终做负功是关键.
解答:解:设小球受到的阻力大小恒为f,小球上升至最高点过程由动能定理得:
小球上升至离地高度h处时速度设为v1,由动能定理得:
又
小球上升至最高点后又下降至离地高度h处时速度设为v2,此过程由动能定理得:
又2×
以上各式联立解得
故选D.
点评:在应用动能定理解题时,各个力的做功分析非常重要,本题中上升和下降过程中阻力始终做负功是关键.
练习册系列答案
相关题目