题目内容

处于静止状态的某原子核X,发生α衰变后变成质量为M的原子核Y,被释放的α粒子垂直射人磁感强度为B的匀强磁场中,测得其圆周运动的半径为r,设α粒子质量为m,质子的电量为e,试求: (提示:原子核衰变过程中,动量和能量保持守恒)
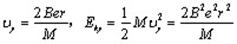
(1)衰变后α粒子的速率υa和动能Eka
(2)衰变后Y核的速率υy和动能Eky
(3)衰变前X核的质量Mx

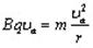
解:(1)
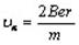
(2)
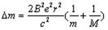
(3)衰变前X核的质量:

解析试题分析:解:(1)因为
粒子的带电量为q=2e,


(2)由动量守恒
所以
(3)由质能方程:,而
所以
衰变前X核的质量:
考点:动量守恒定律;原子核的人工转变;爱因斯坦质能方程.
点评:利用动量守恒和能量守恒解答原子物理问题是考查的重点,在平时训练中要加强这方面的训练.

练习册系列答案
相关题目
精英家教网
(1)①如图甲所示,一导热性能良好的金属气缸静放在水平面上,活塞与气缸壁间的摩擦不计.气缸内封闭了一定质量的理想气体.现缓慢地向活塞上倒一定质量的沙土,忽略环境温度的变化,在此过程中
 

A.气体的内能增大
B.气缸内分子平均动能增大
C.气缸内气体分子密度增大
D.单位时间内撞击气缸壁单位面积上的分子数增多
②下列说法中正确的是
 

A.布朗运动是分子无规则运动的反映
B.气体分子间距离减小时,分子间斥力增大,引力也增大
C.导热性能各向同性的固体,一定不是单晶体
D.机械能不可能全部转化为内能
③地面上放一开口向上的气缸,用一质量为m=0.8kg的活塞封闭一定质量的气体,不计一切摩擦,外界大气压为P0=1.0×105Pa,活塞截面积为S=4cm2,重力加速度g取10m/s2,则活塞静止时,气体的压强为
 
Pa;若用力向下推活塞而压缩气体,对气体做功为6×105J,同时气体通过气缸向外传热4.2×105J,则气体内能变化为
 
J.
(2)①关于光电效应现象,下列说法中正确的是
 

A.在光电效应现象中,入射光的强度越大,光电子的最大初动能越大
B.在光电效应现象中,光电子的最大初动能与照射光的频率成正比
C.对于任何一种金属都存在一个“最大波长”,入射光的波长必须小于此波长,才能产生光电效应
D.对于某种金属,只要入射光的强度足够大,就会发生光电效应
②处于激发状态的原子,在入射光的电磁场的影响下,从高能态向低能态跃迁,两个状态之间的能量差以辐射光子的形式发射出去,这种辐射叫做受激辐射.原子发生受激辐射时,发出的光子频率、发射方向等,都跟入射光子完全一样,这样使光得到加强,这就是激光产生的机理.那么,发生受激辐射时,产生激光的原子的总能量En、电势能Ep、电子动能Ek的变化情况是
 

A.Ep增大、Ek减小、En减小
B.Ep减小、Ek增大、En减小
C.Ep增大、Ek增大、En增大
D.Ep减小、Ek增大、En不变
③如图乙所示,质量为m的小球B连接着轻质弹簧,静止在光滑水平面上.质量为m的小球A以某一速度向右运动,与弹簧发生碰撞,当A、B两球距离最近时弹簧的弹性势能为EP,则碰撞前A球的速度v0=
 

精英家教网

(1)①如图甲所示,一导热性能良好的金属气缸静放在水平面上,活塞与气缸壁间的摩擦不计.气缸内封闭了一定质量的理想气体.现缓慢地向活塞上倒一定质量的沙土,忽略环境温度的变化,在此过程中______
A.气体的内能增大
B.气缸内分子平均动能增大
C.气缸内气体分子密度增大
D.单位时间内撞击气缸壁单位面积上的分子数增多
②下列说法中正确的是______
A.布朗运动是分子无规则运动的反映
B.气体分子间距离减小时,分子间斥力增大,引力也增大
C.导热性能各向同性的固体,一定不是单晶体
D.机械能不可能全部转化为内能
③地面上放一开口向上的气缸,用一质量为m=0.8kg的活塞封闭一定质量的气体,不计一切摩擦,外界大气压为P0=1.0×105Pa,活塞截面积为S=4cm2,重力加速度g取10m/s2,则活塞静止时,气体的压强为______Pa;若用力向下推活塞而压缩气体,对气体做功为6×105J,同时气体通过气缸向外传热4.2×105J,则气体内能变化为______J.
(2)①关于光电效应现象,下列说法中正确的是______
A.在光电效应现象中,入射光的强度越大,光电子的最大初动能越大
B.在光电效应现象中,光电子的最大初动能与照射光的频率成正比
C.对于任何一种金属都存在一个“最大波长”,入射光的波长必须小于此波长,才能产生光电效应
D.对于某种金属,只要入射光的强度足够大,就会发生光电效应
②处于激发状态的原子,在入射光的电磁场的影响下,从高能态向低能态跃迁,两个状态之间的能量差以辐射光子的形式发射出去,这种辐射叫做受激辐射.原子发生受激辐射时,发出的光子频率、发射方向等,都跟入射光子完全一样,这样使光得到加强,这就是激光产生的机理.那么,发生受激辐射时,产生激光的原子的总能量En、电势能Ep、电子动能Ek的变化情况是______
A.Ep增大、Ek减小、En减小
B.Ep减小、Ek增大、En减小
C.Ep增大、Ek增大、En增大
D.Ep减小、Ek增大、En不变
③如图乙所示,质量为m的小球B连接着轻质弹簧,静止在光滑水平面上.质量为m的小球A以某一速度向右运动,与弹簧发生碰撞,当A、B两球距离最近时弹簧的弹性势能为EP,则碰撞前A球的速度v0=______.

违法和不良信息举报电话:027-86699610 举报邮箱:58377363@163.com

精英家教网