题目内容
已知地球和天王星半径分别为R1、R2,公转半径分别为r1、r2,公转线速度分别为v1′、v2′,表面重力加速度分别为g1、g2,地球第一宇宙速度为v1,飞船贴近天王星表面环绕线速度为v2,则下列关系正确的是( )A.
B.
C.
D.
【答案】分析:根据万有引力提供向心力
去求公转的线速度之比,以及第一宇宙速度之比.根据万有引力等于重力
求星球表面重力加速度之比.
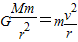
解答:解:A、根据万有引力提供向心力
,
.地球和天王星的公转半径之比为r1:r2,所以公转速度之比
.故A正确.B错误.
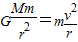
C、根据万有引力等于重力
,
,由于不知道地球和天王星的质量比,所以无法求出地球和天王星表面的重力加速度之比.故C错误.
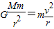
D、根据
,
,由于不知道地球和天王星的质量比,所以求出两个天体的第一宇宙速度之比.故D错误.
故选A.
点评:解决本题的关键搞清楚公转、第一宇宙速度等问题中,谁是中心天体,谁是环绕天体,然后根据万有引力提供向心力
,万有引力等于重力
进行求解.
解答:解:A、根据万有引力提供向心力
C、根据万有引力等于重力
D、根据
故选A.
点评:解决本题的关键搞清楚公转、第一宇宙速度等问题中,谁是中心天体,谁是环绕天体,然后根据万有引力提供向心力
练习册系列答案
相关题目