题目内容

(15分)我国城市交通路口灯,绿灯即将结束时闪烁3s后变3s黄灯提示再转为红灯,2013年1月1日实施新的交通规定;黄灯亮时,车头已经越过停车线的车辆继续前行,车头未越过停车线的若继续前行则视为闯黄灯,属于交通违章行为。

(1)某车在绿灯开始闪烁时刹车,要使车在绿灯闪烁的时间内停下来,且刹车距离不得大于15m,若刹车过程视为匀减速直线运动,该车刹车前的行驶速度不能超过多少?

(2)若某车正以的速度驶向路口,当驾驶员看到绿灯开始闪烁时,经0.5s反应时间后开始刹车,该车在黄灯刚亮时恰好停在停车线上,刹车过程视为匀减速直线运动,求绿灯开始闪烁时,该车距停车线的距离。

 

【答案】

(1)     (2)

【解析】

试题分析:(1)由运动学公式:   (5分)  

解得:     (2分)

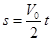
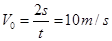
(2)在反应时间里作匀速运动

                (2分)

              (2分)

匀减速的位移:       (2分)

则距停车线L=L0+L1=14m          (2分)

考点:本题考查了匀变速直线运动的规律。

 

练习册系列答案
相关题目

违法和不良信息举报电话:027-86699610 举报邮箱:58377363@163.com

精英家教网