题目内容

房檐滴水,每隔相等的时间积成一滴水下落,当第一滴水下落到地面时,第五滴水刚好形成,观察到第四、五滴水之间的距离恰好为1 m,则房檐的高度为

A.4 m

B.5 m

C.6 m

D.16 m

答案:D
解析:

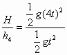
  设相邻两滴水之间的时间间隔为t,则第1滴水下落的时间为4t,根据自由落体公式h=gt2,第4滴水下落的高度h4gt2=1 m,房檐的高度等于第1滴水下落的高度,H=h1 g(4t)2,由以上两式得:

  =16,H=16h4=16 m,D正确.


练习册系列答案
相关题目

违法和不良信息举报电话:027-86699610 举报邮箱:58377363@163.com

精英家教网