题目内容
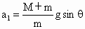
如图所示,质量为M的木板放在倾角为θ的光滑斜面上,一个质量为m的人站在木板上,若人相对于木板静止,木板的加速度______.若木板相对斜面静止,则人必须以沿斜面向______、大小为______的加速度做加速运动.
![]()
答案:略
解析:
解析:
|
gsin θ,下,(M+m)gsinθ/m.取人与木板作为一个整体研究,在沿斜面方向上由牛顿第二定律得: (M +m)gsinθ=(M+m)a,故加速度 a=gsin θ,要使木板相对斜面静止,别人给木板的作用力应向上,大小 F=Mgsinθ,故板给人的作用力向下,大小为Mgsinθ,由牛顿第二定律对人有:
故人的加速度 人走路时,靠人与地面间的静摩擦力前进. |
练习册系列答案
相关题目
| A、地面对楔形物块的支持力为(M+m)g | B、地面对楔形物块的摩擦力为零 | C、楔形物块对小物块摩擦力可能为零 | D、小物块一定受到四个力作用 |