题目内容
一根轻绳通过光滑的定滑轮连接重为G1物块和套在粗糙竖直杆上的重为G2的滑套,如图所示.定滑轮到竖直杆距离为试求:
(1)滑套和竖直杆的摩擦系数;
(2)滑块和滑套的所受重力之比即G1/G2.
【答案】分析:根据题意长度数据可知在B点和C点时的角度关系,在B点和C点受力分析可知,在这两点受到的摩擦力为最大静摩擦力,B点向上,C点向下,根据平衡条件列方程组,进一步求出G1、G2和μ之间的关系.
解答:解:根据题意,A与滑轮等高,AB=1米,BC=2米,定滑轮到竖直杆距离为
米.
则有角度关系如图所以:

当处于B点时受力分析如图:

则有:
G1cos30°=N1
G1sin30°+Fm=G2
Fm=μN1
解得:
…①
当处于C点时,受力分析如图:

则有:
G1cos60°=N2
G1sin60°=Fm+G2
Fm=μN2
解得:
…②
①式与②式等式左右相除,化简可得:μ=
把μ=
代入②式中得:

所以:
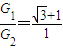
答:(1)滑套和竖直杆的摩擦系数为
;
(2)滑块和滑套的所受重力之比为
.
点评:此题的关键在于正确的作出受力分析图,根据受力分析图,运用平衡条件列方程求解.属于中档题.
解答:解:根据题意,A与滑轮等高,AB=1米,BC=2米,定滑轮到竖直杆距离为
则有角度关系如图所以:
当处于B点时受力分析如图:
则有:
G1cos30°=N1
G1sin30°+Fm=G2
Fm=μN1
解得:
当处于C点时,受力分析如图:
则有:
G1cos60°=N2
G1sin60°=Fm+G2
Fm=μN2
解得:
①式与②式等式左右相除,化简可得:μ=
把μ=
所以:
答:(1)滑套和竖直杆的摩擦系数为
(2)滑块和滑套的所受重力之比为
点评:此题的关键在于正确的作出受力分析图,根据受力分析图,运用平衡条件列方程求解.属于中档题.
练习册系列答案
相关题目
- QQ空间
- 新浪微博
- 百度搜藏
- 人人网
- 腾讯微博
- 开心网
- 腾讯朋友
- 百度空间
- 豆瓣网
- 搜狐微博
- MSN
- QQ收藏
- 我的淘宝
- 百度贴吧
- 搜狐白社会
- 更多...
百度分享
一个有一定厚度的圆盘,可以绕通过中心垂直于盘面的水平轴转动,用下面的方法测量它匀速转动时的角速度。
实验器材:电磁打点计时器、米尺、纸带、复写纸片。
实验步骤:
(1)如图1所示,将电磁打点计时器固定在桌面上,将纸带的一端穿过打点计时器的限位孔后,固定在待测圆盘的侧面上,使得圆盘转动时,纸带可以卷在圆盘侧面上。
(2)启动控制装置使圆盘转动,同时接通电源,打点计时器开始打点。
(3)经过一段时间,停止转动和打点,取下纸带,进行测量。
① 由已知量和测得量表示的角速度的表达式为ω= 。式中各量的意义是:
.
② 某次实验测得圆盘半径r=5.50×10-2m,得到纸带的一段如图2所示,求得角速度为 。
(1) (2)6.8/s。 |