题目内容
一个小球从斜面的顶端由静止开始匀加速沿斜面滑下,经过斜面的中点时速度为3m/s,则小球到达斜面底端时的速度为( )A.4m/s
B.5m/s
C.6m/s
D.3
【答案】分析:根据匀变速直线运动的速度位移公式
去求球到达斜面底端时的速度.
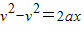
解答:解:设小球到达斜面底端的速度为v,斜面的长度为L.根据速度位移公式有:
,v2=2aL,联立两式解得:v=3
.故D正确,A、B、C错误.
故选D.
点评:解决本题的关键掌握匀变速直线运动的速度位移公式
.
解答:解:设小球到达斜面底端的速度为v,斜面的长度为L.根据速度位移公式有:
故选D.
点评:解决本题的关键掌握匀变速直线运动的速度位移公式
练习册系列答案
相关题目