题目内容
如图所示,斜面倾角为37°,质量为1kg的物体静止在斜面底端,物体与斜面的滑动摩擦系数μ=0.5,某时刻有一平行于斜面向上的20N的外力作用在物体上,2秒后外力撤去.求:(1)撤去外力的瞬间物体的速度大小;(2)物体能继续向上滑行的距离(假设斜面足够长);(3)物体最后能否静止在斜面上?如果不能,请求出物体从撤去外力开始到滑回斜面底端所用的时间.
【答案】分析:(1)由物体的受力可以求得其撤去外力前的加速度,由运动学可以求得撤去时的速度.
(2)撤去后其余受力不变,由此可以求得加速度,进而求得上滑距离
(3)比较重力沿斜面的分力与摩擦力的大小可以知道,物体不能静止.由(2)的已知量可以求得撤去后上滑的时间,然后再求下滑时间:先求出撤去前的位移和撤去后的上滑位移,两者之和为总位移.物体向下做匀加速直线运动,故而可以求得下滑时间,两者相加即为总时间.
解答:解:

(1)对物体受力分析如图,由牛顿第二定律:
F-mgsin37°-μmgcos37°=ma1
解得:
a1=10m/s2
又:
v1=a1t=20m/s
(2)撤去F之后,其余受力不变,故而由牛顿第二定律:
mgsin37°+μmgcos37°=ma2
解得:
a2=10m/s2
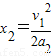
又滑行到最高点速度为零:
=20m
(3)由于 mgsin37°=6N,μmgcos37°=4N,故:mgsin37°>μmgcos37°所以物体不能静止
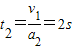
撤去外力后上升时间:
撤去之前的位移为:
x1=
=20m
上升的总位移:
x=x1+x2=40m
在下降阶段由牛顿第二定律:
mgsin37°-μmgcos37°=ma3
解得:
a3=2m/s2
由:

解得:

故从撤去外力开始到滑回斜面底端所用的时间为:
t=t2+t3=
答:
(1)撤去外力的瞬间物体的速度20m/s
(2)物体能继续向上滑行的距离20m
(3)不能,从撤去外力开始到滑回斜面底端所用的时间
点评:本题关键是要掌握好受力分析和运动分析,这两个分析能力是牛顿第二定律应用的基础,只有熟练掌握才能应对牛顿第二定律的应用.
(2)撤去后其余受力不变,由此可以求得加速度,进而求得上滑距离
(3)比较重力沿斜面的分力与摩擦力的大小可以知道,物体不能静止.由(2)的已知量可以求得撤去后上滑的时间,然后再求下滑时间:先求出撤去前的位移和撤去后的上滑位移,两者之和为总位移.物体向下做匀加速直线运动,故而可以求得下滑时间,两者相加即为总时间.
解答:解:
(1)对物体受力分析如图,由牛顿第二定律:
F-mgsin37°-μmgcos37°=ma1
解得:
a1=10m/s2
又:
v1=a1t=20m/s
(2)撤去F之后,其余受力不变,故而由牛顿第二定律:
mgsin37°+μmgcos37°=ma2
解得:
a2=10m/s2
又滑行到最高点速度为零:
(3)由于 mgsin37°=6N,μmgcos37°=4N,故:mgsin37°>μmgcos37°所以物体不能静止
撤去外力后上升时间:
撤去之前的位移为:
x1=
上升的总位移:
x=x1+x2=40m
在下降阶段由牛顿第二定律:
mgsin37°-μmgcos37°=ma3
解得:
a3=2m/s2
由:
解得:
故从撤去外力开始到滑回斜面底端所用的时间为:
t=t2+t3=
答:
(1)撤去外力的瞬间物体的速度20m/s
(2)物体能继续向上滑行的距离20m
(3)不能,从撤去外力开始到滑回斜面底端所用的时间
点评:本题关键是要掌握好受力分析和运动分析,这两个分析能力是牛顿第二定律应用的基础,只有熟练掌握才能应对牛顿第二定律的应用.
练习册系列答案
相关题目